Free Access
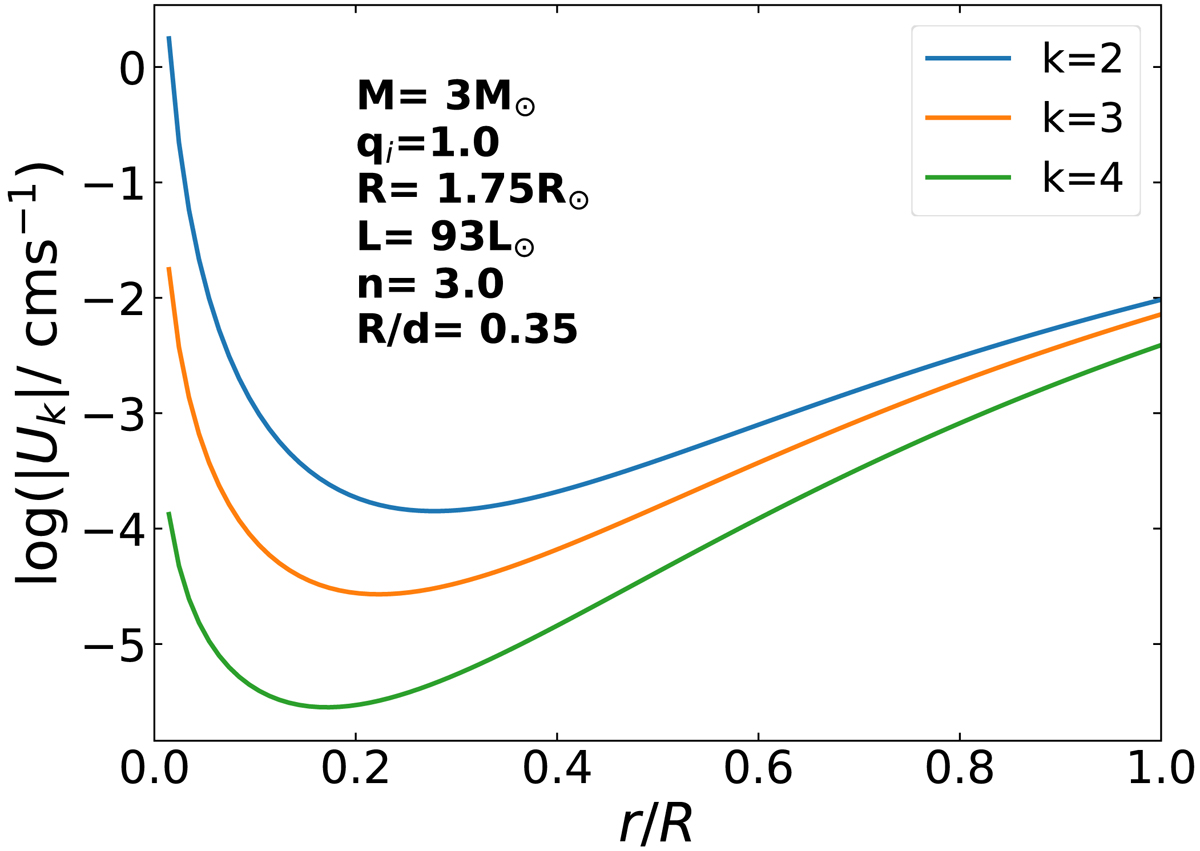
Fig. B.1.

Inviscid radial circulation velocity magnitudes, Uk(r) plotted as a function of normalised radius for an n = 3 polytrope with M = 3 M⊙, R = 1.75 R⊙, L = 93 L⊙ and a companion mass of M = 3 M⊙. The ratio of stellar radius to orbital separation is set to be 0.35, representing a near-contact system.
Current usage metrics show cumulative count of Article Views (full-text article views including HTML views, PDF and ePub downloads, according to the available data) and Abstracts Views on Vision4Press platform.
Data correspond to usage on the plateform after 2015. The current usage metrics is available 48-96 hours after online publication and is updated daily on week days.
Initial download of the metrics may take a while.