Free Access

Fig. 2.

image

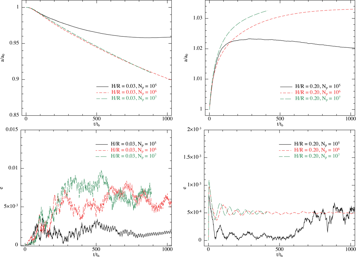
Time evolution of the binary semi-major axis (top panels) and eccentricity (bottom panels) for the thin disc (left hand panels) and thick disc (right hand panels) cases, at three different resolutions (black solid line Np = 105, red dashed line Np = 106, and green long dashed line with Np = 107). For the thin disc case, at each resolution the binary shrinks. For higher resolution the behaviour of the binary orbit appears to be converged. While at lower resolution, the binary orbit starts to expand at late times due to the resolution length scale increasing with time, which correspondingly leads to a large numerical viscosity at late times. For the thick disc case the binary expands with time and the amount of expansion increases with increasing resolution. While the higher resolution cases show the same behaviour, after several hundred binary orbits the lowest resolution case exhibits binary orbital decay. We attribute this to a lack of resolution at these late times which correspondingly moves the inner edge of the circumbinary disc to larger radii which in turn weakens the capture torque and allows tides to become artificially dominant in this case. In both the thick and thin disc cases the binary eccentricity remains small (e ≲ 0.01), but the thin disc case, which shows a larger asymmetry in the gas distribution, has a significantly higher eccentricity than the more symmetric thick disc case.

Current usage metrics show cumulative count of Article Views (full-text article views including HTML views, PDF and ePub downloads, according to the available data) and Abstracts Views on Vision4Press platform.

Data correspond to usage on the plateform after 2015. The current usage metrics is available 48-96 hours after online publication and is updated daily on week days.

Initial download of the metrics may take a while.