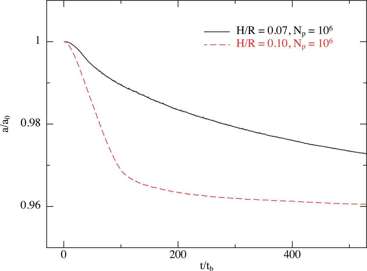
Fig. 4.

Time evolution of the binary semi-major axis for two additional preliminary simulations with H/R = 0.07 (black solid line) and H/R = 0.1 (red dashed line), both with α = 0.1 and Np = 106 (and otherwise the same parameters as the simulations presented in Sect. 3). Both of these cases show the binary orbit decaying with time, suggesting that the critical value of H/R that divides binary expansion or contraction is larger than the value of 0.04 reported by Tiede et al. (2020) when α ≈ 0.1, and is also parameter dependent (see Sects. 2 and 4). For the simulated parameters, these simulations suggest that the critical H/R is ≈0.1 − 0.2, as indicated by the small (but still negative) da/dt for the H/R = 0.1 case seen at t ≳ 100tb.
Current usage metrics show cumulative count of Article Views (full-text article views including HTML views, PDF and ePub downloads, according to the available data) and Abstracts Views on Vision4Press platform.
Data correspond to usage on the plateform after 2015. The current usage metrics is available 48-96 hours after online publication and is updated daily on week days.
Initial download of the metrics may take a while.