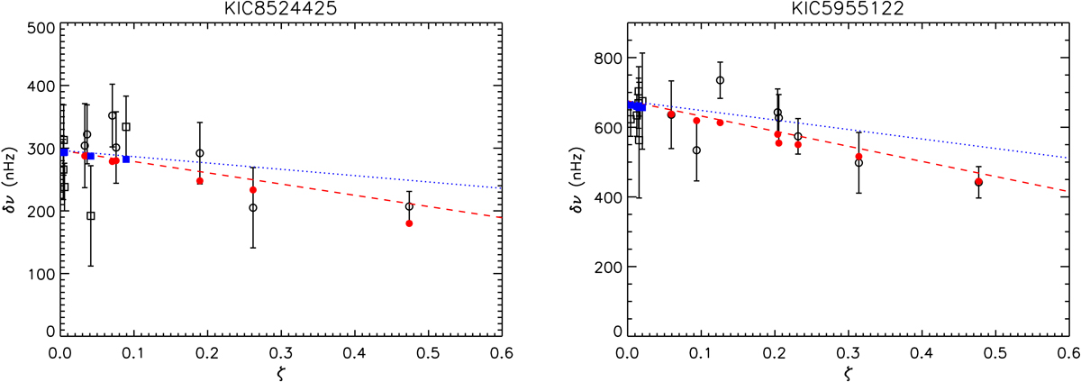
Fig. 5.

Observed rotational splittings (open symbols) for modes of degrees l = 1 (circles) and l = 2 (squares) plotted as a function of the parameter ζ obtained from the best-fit stellar models (ζ measures the trapping of the modes, with ζ → 0 for p-dominated and ζ → 1 for g-dominated modes). The splittings obtained with the inverted values of ⟨Ω⟩g and ⟨Ω⟩p (see Sect. 4) are shown as filled symbols. The dashed and dotted lines show the expected rotational splittings for l = 1 and 2 modes, respectively, when fitting Eq. (8) to the observations.
Current usage metrics show cumulative count of Article Views (full-text article views including HTML views, PDF and ePub downloads, according to the available data) and Abstracts Views on Vision4Press platform.
Data correspond to usage on the plateform after 2015. The current usage metrics is available 48-96 hours after online publication and is updated daily on week days.
Initial download of the metrics may take a while.