Open Access
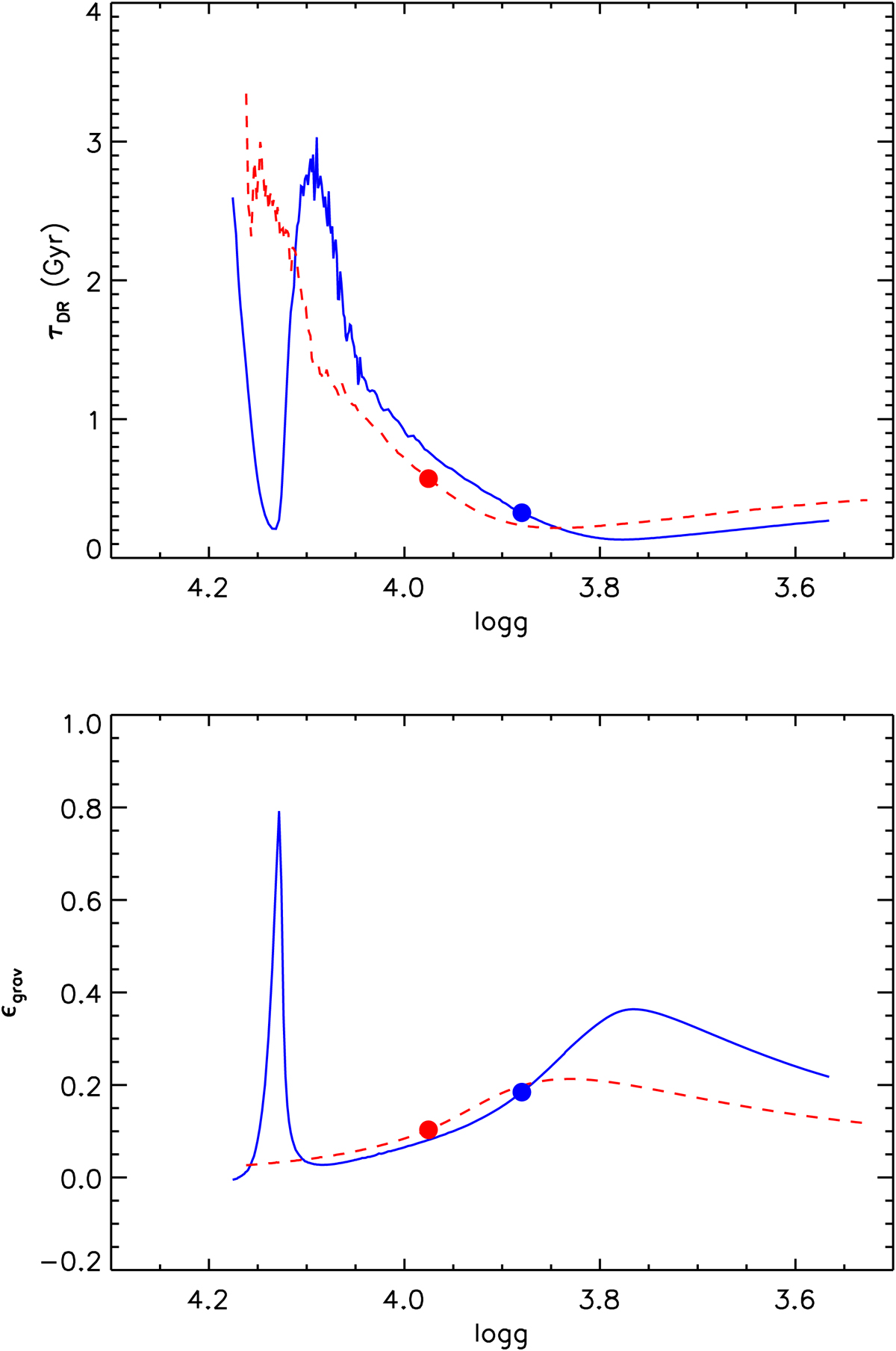
Fig. 8.

Variations in the timescale τDR over which differential rotation is forced (top panel) and in εgrav (bottom panel) along the subgiant branch for our best-fit models of KIC 8524425 (red dashed line) and KIC 5955122 (solid blue line). The filled circles correspond to the stars at current age.
Current usage metrics show cumulative count of Article Views (full-text article views including HTML views, PDF and ePub downloads, according to the available data) and Abstracts Views on Vision4Press platform.
Data correspond to usage on the plateform after 2015. The current usage metrics is available 48-96 hours after online publication and is updated daily on week days.
Initial download of the metrics may take a while.