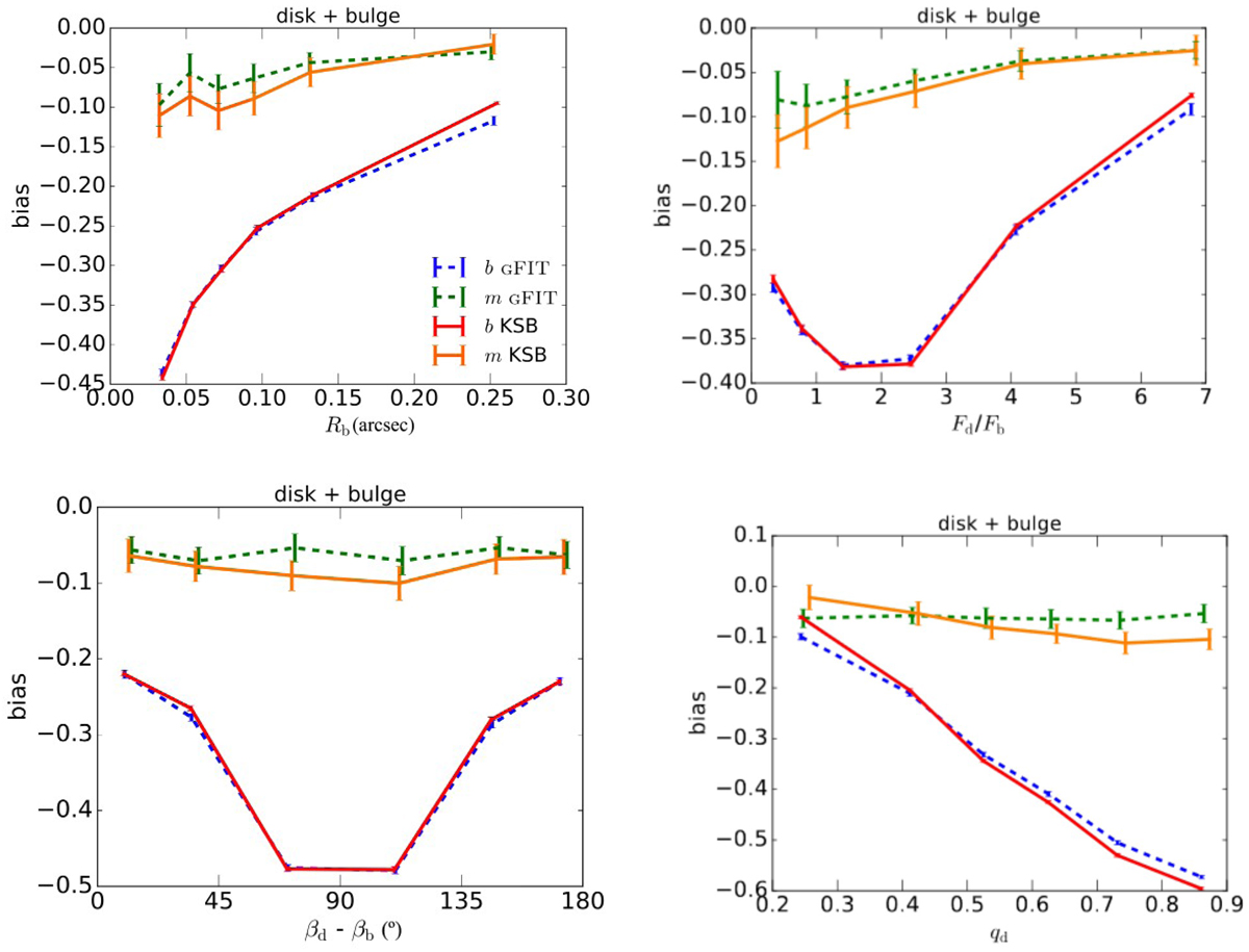
Fig. 2.

Multiplicative ellipticity bias (b1, 2 from Eq. (4)) and shear bias (m1, 2 from Eq. (5)) as a function of the input galaxy properties, such as bulge size Rb (top left), disc-to-bulge flux ratio (top right), the difference between the disc and bulge orientation angles (bottom left), and disc axis ratio q (bottom right) for galaxies with a disc and a bulge and for both models GFIT and KSB.
Current usage metrics show cumulative count of Article Views (full-text article views including HTML views, PDF and ePub downloads, according to the available data) and Abstracts Views on Vision4Press platform.
Data correspond to usage on the plateform after 2015. The current usage metrics is available 48-96 hours after online publication and is updated daily on week days.
Initial download of the metrics may take a while.