Free Access
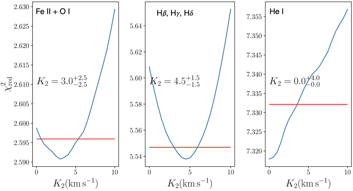
Fig. C.1.

Reduced χ2(K2) and corresponding K2 measurements for individual line groups obtained from the observed data set, but using the Fourier spectral disentangling code fd3. The reduced χ2 is computed in Fourier space and can thus not be directly compared with the one computed by the shift-and-add technique (e.g. Fig. 5).
Current usage metrics show cumulative count of Article Views (full-text article views including HTML views, PDF and ePub downloads, according to the available data) and Abstracts Views on Vision4Press platform.
Data correspond to usage on the plateform after 2015. The current usage metrics is available 48-96 hours after online publication and is updated daily on week days.
Initial download of the metrics may take a while.