Press Release
Free Access

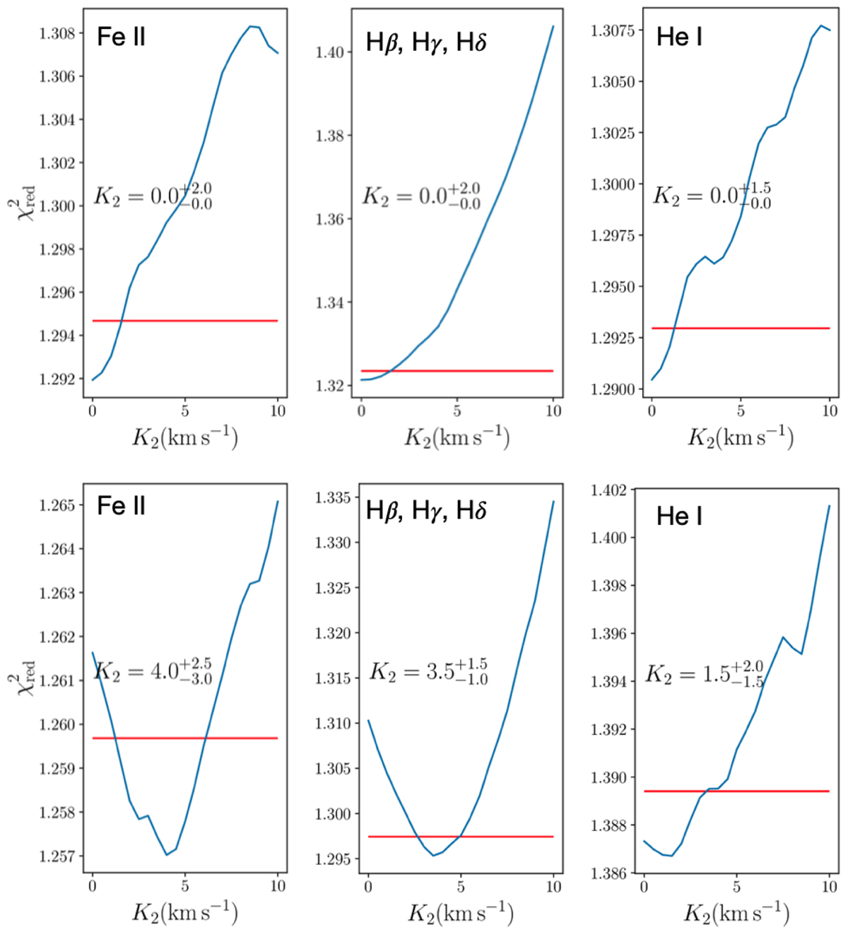
Fig. C.3.

image

Same as Fig. C.2, but using Fourier grid disentangling with fd3 (top: K2, true = 0 km s−1, bottom: K2, true = 4 km s−1), illustrating the discrepant results obtained using Fourier disentangling in this case. The K2 = 4 km s−1 semi-amplitude is not unanimously resolved with the Fourier method as it was with the shift-and-add method, even though the reduced chi-squared statistic is of order one.

Current usage metrics show cumulative count of Article Views (full-text article views including HTML views, PDF and ePub downloads, according to the available data) and Abstracts Views on Vision4Press platform.

Data correspond to usage on the plateform after 2015. The current usage metrics is available 48-96 hours after online publication and is updated daily on week days.

Initial download of the metrics may take a while.