Open Access

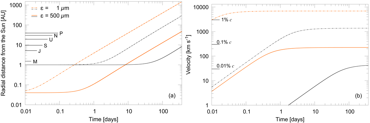
Fig. 1.

image

Travel characteristics of a solar radiation driven aerographite (ρ = 0.18 kg m−3) hollow sphere with a shell thickness ϵ. Tracks were computed through numerical integration of the total in force Eq. (3) divided by the sail mass, which equals the sail acceleration. Orange lines refer to launch at 0.04 AU from the Sun. Black lines refer to launch from interplanetary space (Earth’s gravity being negligible) at 1 AU. Panel a: radial distance of the sail from the Sun as a function of time. The orbits of the solar system outer planets and of Pluto are indicated by their initials. Panel b: radial velocity of the sail with respect to the Sun as a function of time.

Current usage metrics show cumulative count of Article Views (full-text article views including HTML views, PDF and ePub downloads, according to the available data) and Abstracts Views on Vision4Press platform.

Data correspond to usage on the plateform after 2015. The current usage metrics is available 48-96 hours after online publication and is updated daily on week days.

Initial download of the metrics may take a while.