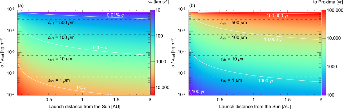
Fig. 3.

Travel characteristics of a solar sail. Results are shown as per Eq. (19) and as a function of the launch distance from the Sun (abscissa) and mass per cross section ratio over the radiative coupling constant (ordinate). Horizontal dashed lines refer to an aerographite hollow sphere with shell thickness values corresponding to those chosen in Fig. 2. Panel a: terminal speed at infinite distance from the Sun. White contours show v∞ in multiples of the speed of light (see white labels). Panel b: travel time to the nearest star, Proxima Centauri. White contours refer to constant travel times (labeled in white).
Current usage metrics show cumulative count of Article Views (full-text article views including HTML views, PDF and ePub downloads, according to the available data) and Abstracts Views on Vision4Press platform.
Data correspond to usage on the plateform after 2015. The current usage metrics is available 48-96 hours after online publication and is updated daily on week days.
Initial download of the metrics may take a while.