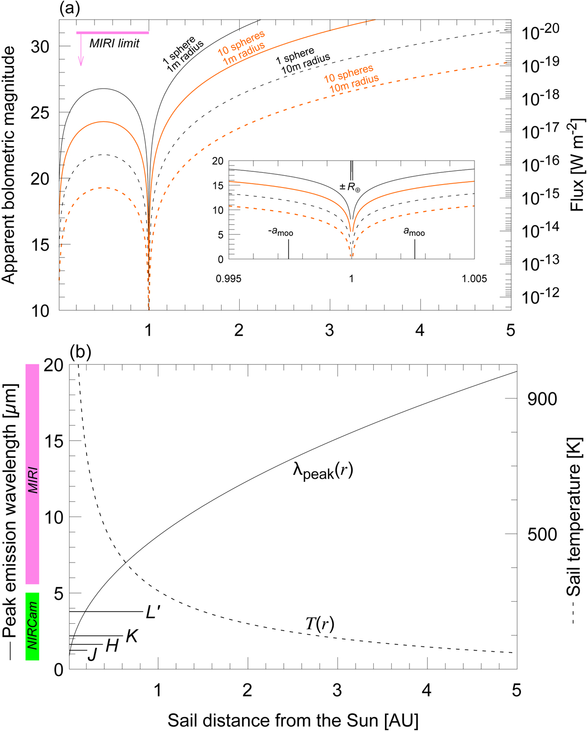
Fig. 7.

Panel a: apparent bolometric magnitude (left ordinate) and observed energy flux (right ordinate) of a swarm of spherical solar sails with different radii as a function of distance from the Sun. The observer is supposed to be sitting 1 AU from the Sun. The 10σ sensitivity limit of a 10 ks (2.78 h) exposure with the MIRI instrument of JWST is indicated at 10−20 W m−2. Panel b: peak emission wavelength (left ordinate) and sail temperature (right ordinate) as a function of distance from the Sun. The wavelength coverage of the NIRCam and MIRI instruments of JWST are shown along the left ordinate together with the JHKL′ standard filters.
Current usage metrics show cumulative count of Article Views (full-text article views including HTML views, PDF and ePub downloads, according to the available data) and Abstracts Views on Vision4Press platform.
Data correspond to usage on the plateform after 2015. The current usage metrics is available 48-96 hours after online publication and is updated daily on week days.
Initial download of the metrics may take a while.