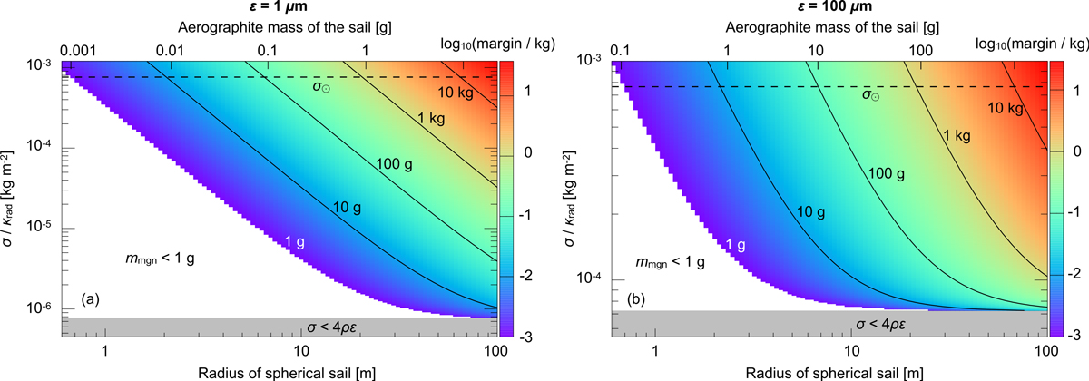
Fig. 8.

Mass margins for a hollow sphere with a shell made of aerographite (ρ = 0.18 kg m−3). Colors indicate log10(mmgn) in grams (see color scale) whenever the margin is ≥1 g. The critical value for interstellar escape from interplanetary space in the solar system (σ⊙ = 7.6946 × 10−4 kg m−2 as per Eq. (7)) is indicated with a dashed line. The gray area indicates the region in which there is no margin for additional mass (see Eq. (28)). The abscissa at the bottom shows the sail radius and the abscissa at the top shows the corresponding aerographite mass of the sail without payload. Panel a: the shell is assumed to have a thickness of ϵ = 1 μm. Panel b: the shell is assumed to have a thickness of ϵ = 100 μm.
Current usage metrics show cumulative count of Article Views (full-text article views including HTML views, PDF and ePub downloads, according to the available data) and Abstracts Views on Vision4Press platform.
Data correspond to usage on the plateform after 2015. The current usage metrics is available 48-96 hours after online publication and is updated daily on week days.
Initial download of the metrics may take a while.