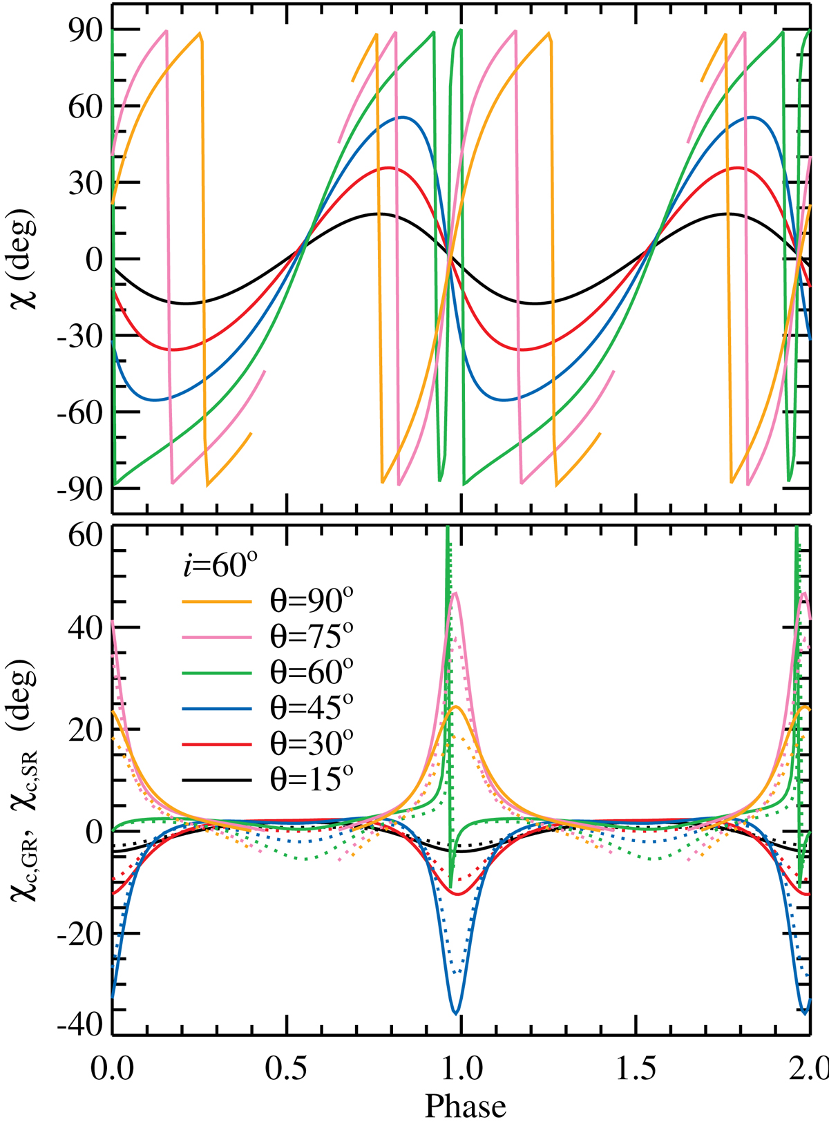
Fig. 4.

Upper panel: relativistic PA as a function of pulsar phase for one small spot at different co-latitudes θ = 15°, 30°, 45°, 60°, 75°, and 90° is shown with black, red, blue, green, pink, and orange lines, respectively. NS parameters are M = 1.5 M⊙, R = 12 km, ν = 600 Hz and inclination i = 60°. The spot is not visible at some phases for θ = 75°and 90°. Lower panel: relativistic corrections to the PA. The dotted lines indicate the SR correction angle χc, SR, which accounts for special relativity only. The solid lines correspond to the GR correction χc, GR, which accounts for both light bending and SR effects.
Current usage metrics show cumulative count of Article Views (full-text article views including HTML views, PDF and ePub downloads, according to the available data) and Abstracts Views on Vision4Press platform.
Data correspond to usage on the plateform after 2015. The current usage metrics is available 48-96 hours after online publication and is updated daily on week days.
Initial download of the metrics may take a while.