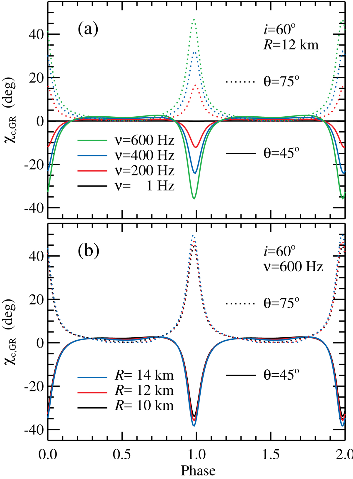
Fig. 6.

Panel a: phase dependence of the PA GR corrections for different NS spin rates. Black, red, blue, and green lines show the results for ν= 1, 200, 400 and 600 Hz. The solid and dotted lines correspond to magnetic obliquity θ = 45° and 75°, respectively. Other parameters are M = 1.5 M⊙, R = 12 km, and inclination i = 60°. Solid and dotted lines correspond to θ = 45° and 75°, respectively. Panel b: same as panel a, but for different NS radii. Black, red, and blue lines show the results for R = 10, 12, and 14 km for spin ν= 600 Hz.
Current usage metrics show cumulative count of Article Views (full-text article views including HTML views, PDF and ePub downloads, according to the available data) and Abstracts Views on Vision4Press platform.
Data correspond to usage on the plateform after 2015. The current usage metrics is available 48-96 hours after online publication and is updated daily on week days.
Initial download of the metrics may take a while.