Fig. 15.

image

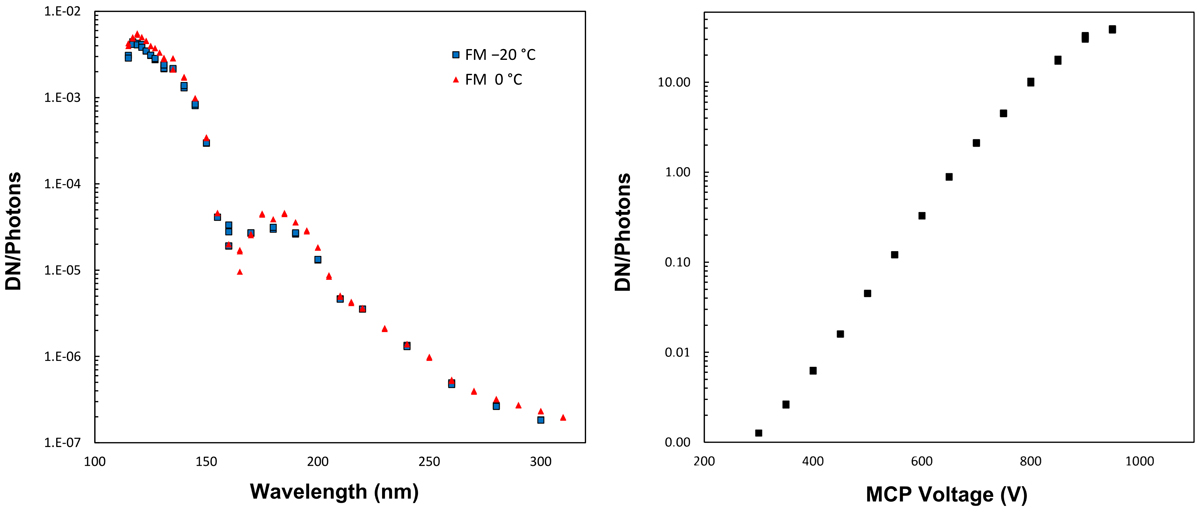
Left: spectral response of the UVDA flight model at 0°C and −20°C. The voltages applied to the microchannel plate (MCP) and to the screen were 400 V and 6 kV, respectively. Screen voltages of 5 kV and 4 kV would reduce the response by a factor of 0.68 and 0.36, respectively. Right: UVDA flight model conversion efficiency at 121.6 nm as a function of the voltage applied to the MCP. The screen voltage was set to 6 kV.

Current usage metrics show cumulative count of Article Views (full-text article views including HTML views, PDF and ePub downloads, according to the available data) and Abstracts Views on Vision4Press platform.

Data correspond to usage on the plateform after 2015. The current usage metrics is available 48-96 hours after online publication and is updated daily on week days.

Initial download of the metrics may take a while.