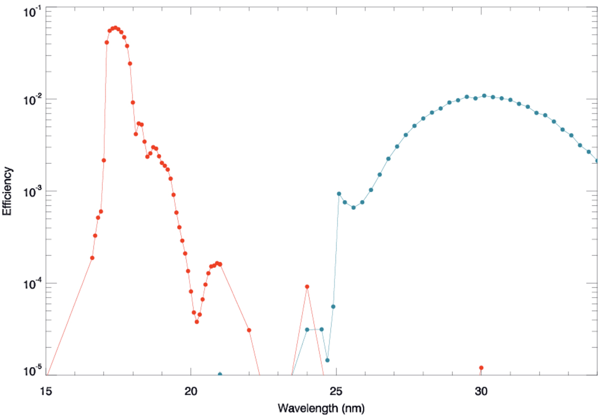
Fig. 23.

Relative spectral response of the EUI/FSI channel from 15 to 34 nm, showing the 17.4 nm channel in red and the 30.4 nm channel in blue. A detailed description can be found in Auchère & EUI consortium partners (in prep.).
Current usage metrics show cumulative count of Article Views (full-text article views including HTML views, PDF and ePub downloads, according to the available data) and Abstracts Views on Vision4Press platform.
Data correspond to usage on the plateform after 2015. The current usage metrics is available 48-96 hours after online publication and is updated daily on week days.
Initial download of the metrics may take a while.