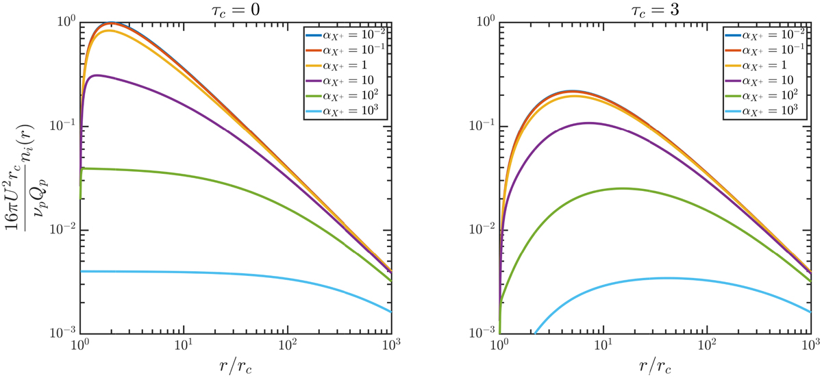
Fig. 16

Dimensionless ion number density profile versus scaled cometocentric distance as a function of α with τc = 0 (left panel) and τc = 3 (right panel). On the y-axis, the values of the ion number density ni are scaled with respect to the maximum ion number density reached when only transport is considered for a given ion, i.e. . As
(coloured curves) increases, more and more ion-neutral reactions take place especially close tothe nucleus. This results in damping the number density of ions reacting with H2 O.
Current usage metrics show cumulative count of Article Views (full-text article views including HTML views, PDF and ePub downloads, according to the available data) and Abstracts Views on Vision4Press platform.
Data correspond to usage on the plateform after 2015. The current usage metrics is available 48-96 hours after online publication and is updated daily on week days.
Initial download of the metrics may take a while.