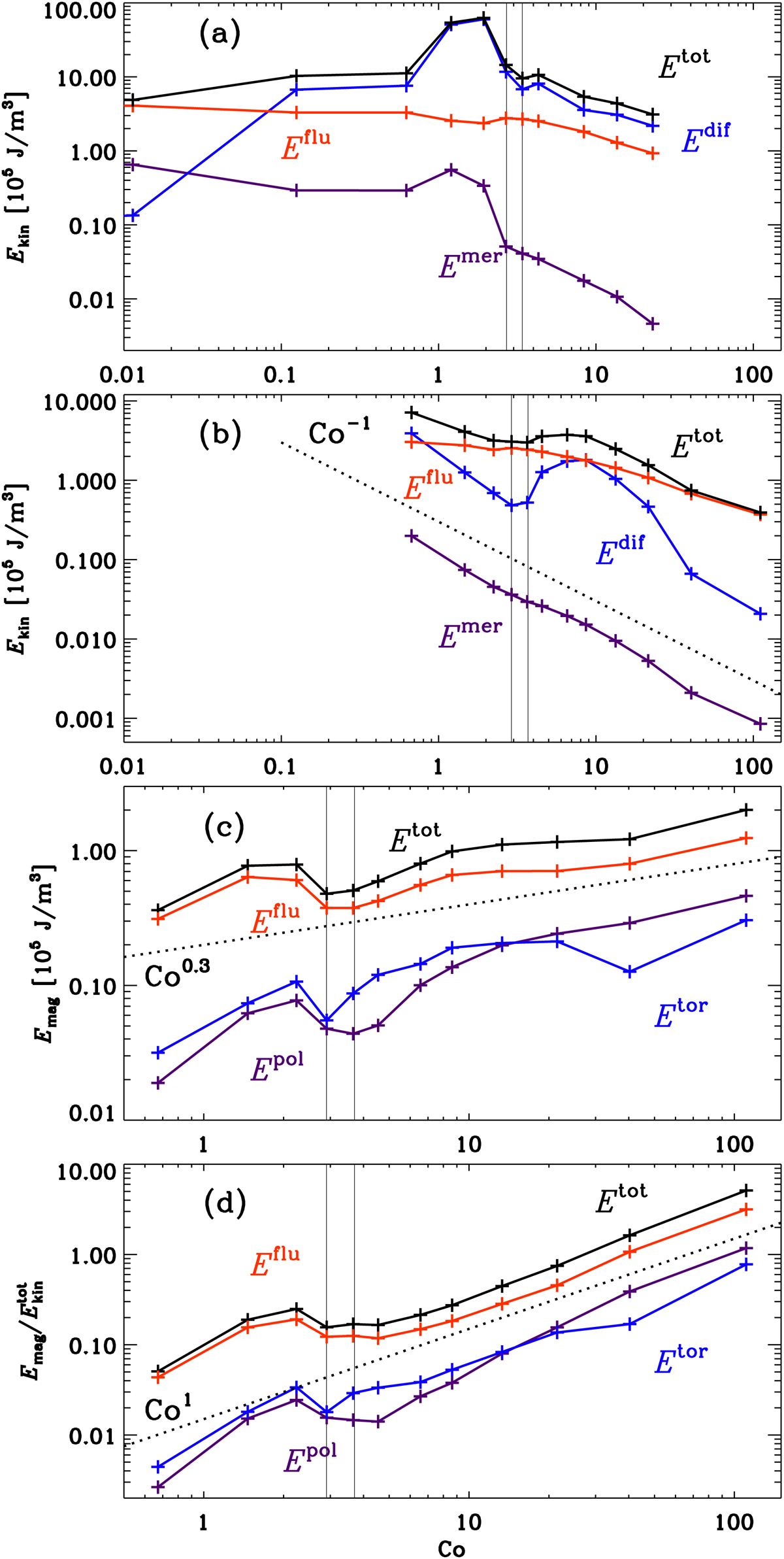
Fig. 1.

Dependence of kinetic and magnetic energies on rotation in terms of Coriolis number Co. We show the total kinetic energy (black lines), which is composed of the energy of the fluctuating flows
(red lines), the differential rotation
(blue lines), and the meridional circulation
(purple lines) for the HD runs (Set H) in panel a and for MHD runs (Set M) in panel b. Additionally, we show the total magnetic energy
(black line) composed of the energy of the fluctuating magnetic field
(red), of the toroidal
(blue), and poloidal magnetic field
(purple) in panel c and normalized by total kinetic energy
in panel d. The dotted lines show the following relations between energies and Coriolis number: Ekin ∝ Co−1 in panel b, Emag ∝ Co0.3 in panel c, and Emag/Ekin ∝ Co1 in panel d. The transition from anti-solar to solar-like differential rotations occurs in between the vertical lines (left line: last anti-solar run, right line: first solar-like run). See Eqs. (5)–(9) for the definition of the energies.
Current usage metrics show cumulative count of Article Views (full-text article views including HTML views, PDF and ePub downloads, according to the available data) and Abstracts Views on Vision4Press platform.
Data correspond to usage on the plateform after 2015. The current usage metrics is available 48-96 hours after online publication and is updated daily on week days.
Initial download of the metrics may take a while.