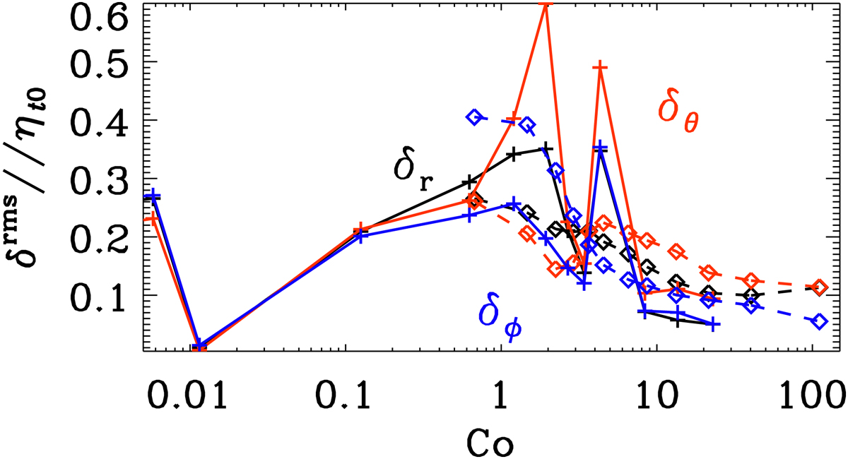
Fig. 11.

Rotational dependency of the Rädler effect. We show the rms values of the components of δ with δr (black lines), δθ (red), and δϕ (blue). As in Fig. 3, the values of the HD runs (Set H) are shown with a solid line and crosses, whereas the MHD runs (Set M) are shown with a dashed line with diamonds. All values are normalized by . The zero rotation run has been moved to Co = 10−4 to be visible.
Current usage metrics show cumulative count of Article Views (full-text article views including HTML views, PDF and ePub downloads, according to the available data) and Abstracts Views on Vision4Press platform.
Data correspond to usage on the plateform after 2015. The current usage metrics is available 48-96 hours after online publication and is updated daily on week days.
Initial download of the metrics may take a while.