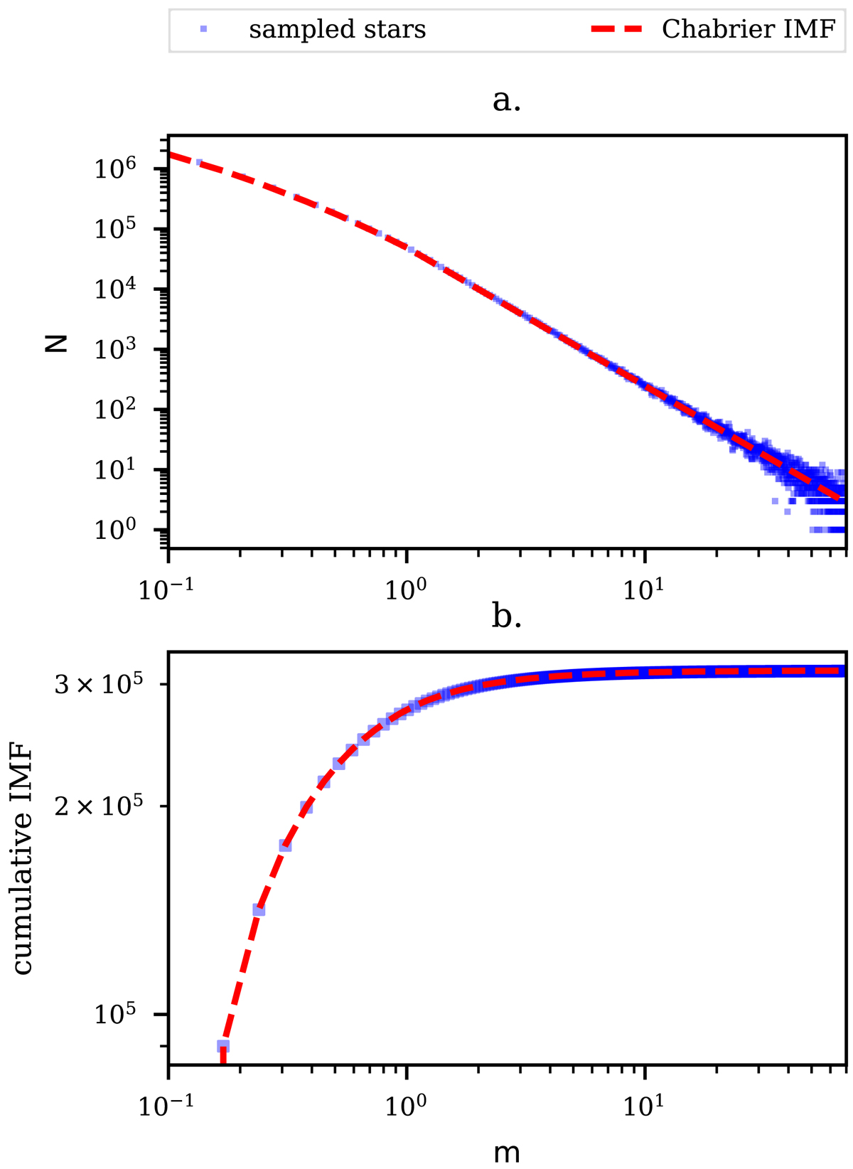
Fig. 1.

Mass distribution of the sampled stars of the simulated dwarf galaxy DG-5 based on the method described in Sect. 3.1. Panel a: Chabrier IMF described by Eq. (1) and panel b: cumulative IMF given by Eq. (2). The sampled distributions are represented by blue circles and the analytical functions are shown by the dashed red lines.
Current usage metrics show cumulative count of Article Views (full-text article views including HTML views, PDF and ePub downloads, according to the available data) and Abstracts Views on Vision4Press platform.
Data correspond to usage on the plateform after 2015. The current usage metrics is available 48-96 hours after online publication and is updated daily on week days.
Initial download of the metrics may take a while.