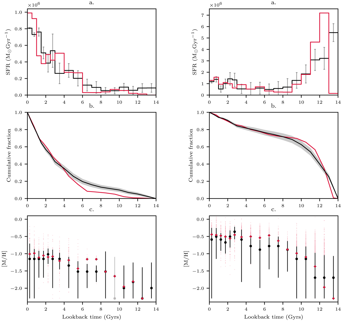
Fig. 3.

Results from the V − I versus I CMD analyses of DG-5 (left) and DG-22 (right): solved SFH from the synthetic CMD method using 357 SSPs (in black) compared with the simulation star-particle data (in red) for the simulated dwarf galaxies DG-5 and DG-22 (see Table 1 for more details). Panels a: SFR as a function of the lookback time; panels b: cumulative mass fraction; and panels c: AMR. The gray points in the AMR depict the age bins where less than 1% of the total star formation took place, the black and gray lines show the error on the solved metallicity, and the scattered red points in the AMR show the true metallicities of each of the star particles in various age bins.
Current usage metrics show cumulative count of Article Views (full-text article views including HTML views, PDF and ePub downloads, according to the available data) and Abstracts Views on Vision4Press platform.
Data correspond to usage on the plateform after 2015. The current usage metrics is available 48-96 hours after online publication and is updated daily on week days.
Initial download of the metrics may take a while.