Free Access

Fig. B.2

image

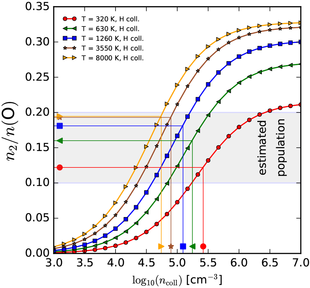
Population diagram for the approximated three level OI system. From the analytical solution for the three-level system, we estimate n2n(O) assuming that the gas density of the warm jet component traced by the [O I]63 line is close to the critical density.

Current usage metrics show cumulative count of Article Views (full-text article views including HTML views, PDF and ePub downloads, according to the available data) and Abstracts Views on Vision4Press platform.

Data correspond to usage on the plateform after 2015. The current usage metrics is available 48-96 hours after online publication and is updated daily on week days.

Initial download of the metrics may take a while.