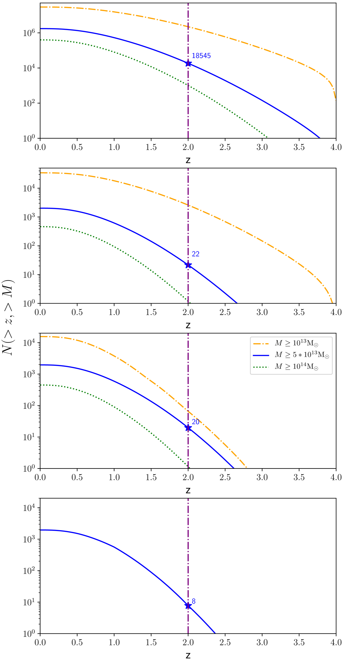
Fig. 10.

Total number of galaxy groups of masses M500 = 1013 M⊙, 5 × 1013 M⊙, and 1014 M⊙ as a function of redshift. Planck cosmology is assumed. First panel: number of galaxy groups in the entire sky. Second panel: number of galaxy groups in the ATHENA WFI survey area assumed for the nominal mission lifetime of four years (48 deg2). Third panel: same as the second panel, but taking into account the ATHENA detection efficiency for the RE11 baseline simulation in 80 ks exposure time. Fourth panel: expected number of galaxy groups with temperature measurements with a precision ΔT/T ≤ 25%.
Current usage metrics show cumulative count of Article Views (full-text article views including HTML views, PDF and ePub downloads, according to the available data) and Abstracts Views on Vision4Press platform.
Data correspond to usage on the plateform after 2015. The current usage metrics is available 48-96 hours after online publication and is updated daily on week days.
Initial download of the metrics may take a while.