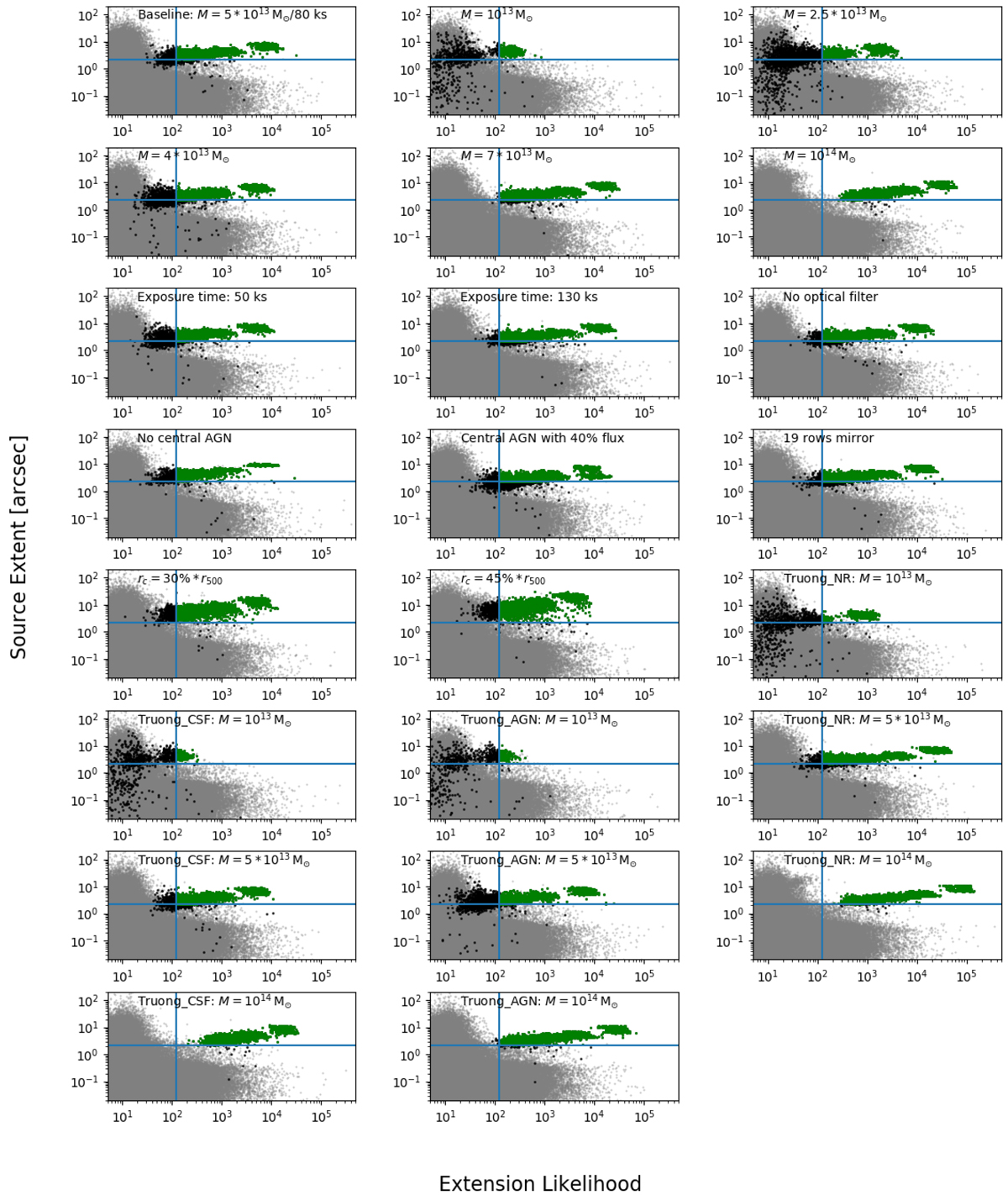
Fig. F.1.

extent−extension-likelihood plane for all simulations. The gray data points are the detected AGNs, while black data points are input galaxy groups, and the green data points are the detected galaxy groups. The selection criteria for extended-like sources with a 1 deg−2 false detection rate is shown as an intersection of the blue lines at extension-likelihood > 104 and extent > 2.3.
Current usage metrics show cumulative count of Article Views (full-text article views including HTML views, PDF and ePub downloads, according to the available data) and Abstracts Views on Vision4Press platform.
Data correspond to usage on the plateform after 2015. The current usage metrics is available 48-96 hours after online publication and is updated daily on week days.
Initial download of the metrics may take a while.