Free Access

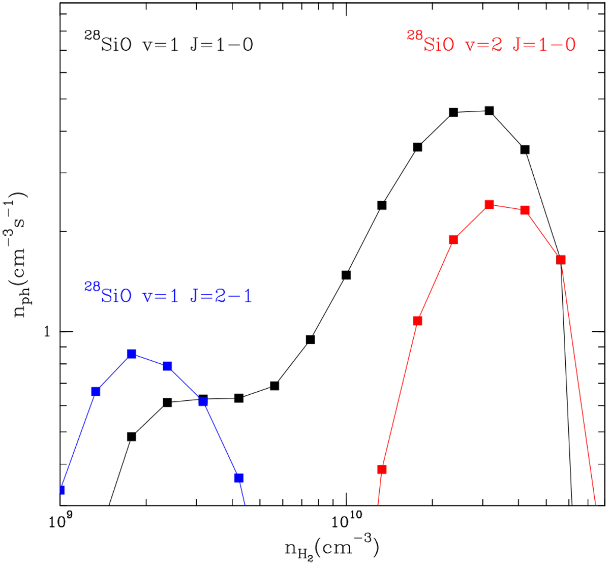
Fig. 11

image

Model calculations of the excitation of the v = 1 and v = 2 J = 1–0 SiO maser transitions. The number of maser photons emitted as a function of the gas density is shown.The molecular excitation model includes the effects of the line overlap between the ro-vibrational lines ν2 = 0,127,5ν2 = 1,116,6 of para-H2O and v = 1, J = 0–v = 2, J = 1 of 28SiO.

Current usage metrics show cumulative count of Article Views (full-text article views including HTML views, PDF and ePub downloads, according to the available data) and Abstracts Views on Vision4Press platform.

Data correspond to usage on the plateform after 2015. The current usage metrics is available 48-96 hours after online publication and is updated daily on week days.

Initial download of the metrics may take a while.