Free Access

Fig. A.1.

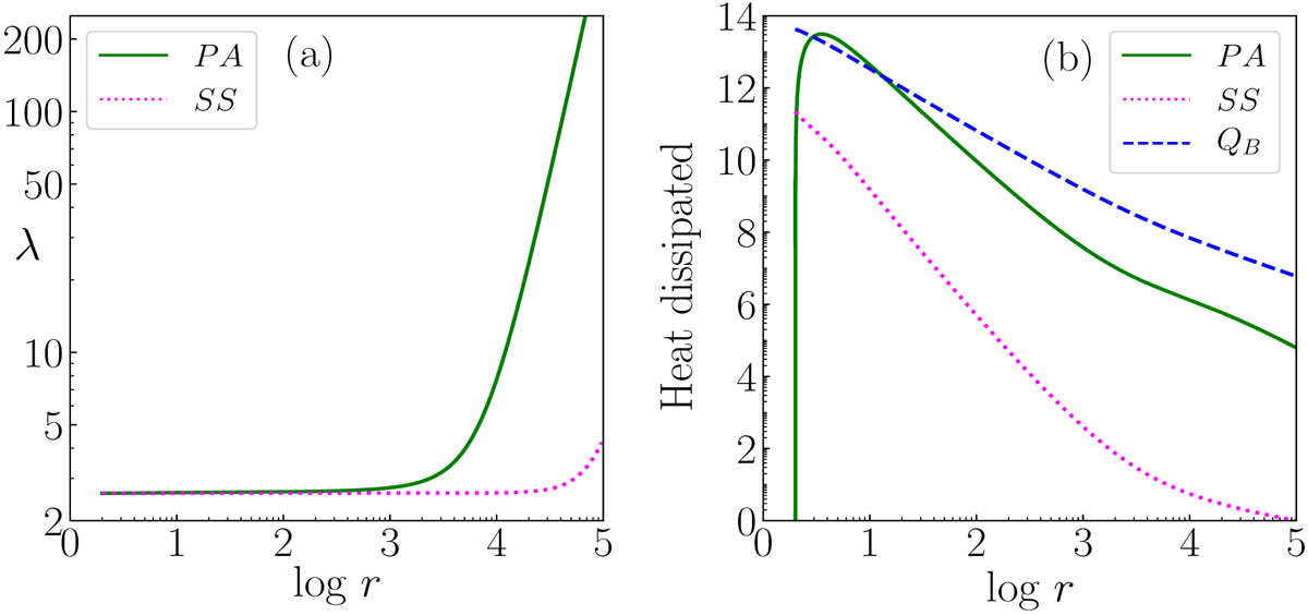
image

(a) Distribution of specific angular momentum (λ) and (b) heating in the system as a function of radius (log r), when viscosity assumed is relativistic (green, solid) and Newtonian (magenta, dotted). Panel b: we also compare the heating due to magnetic dissipation, QB (blue, dashed), assuming βd = 0.02. The flow parameters are E = 1.0005, αvis = 0.01, λ0 = 2.60, = 0.01 Edd, and MBH = 10 M.

Current usage metrics show cumulative count of Article Views (full-text article views including HTML views, PDF and ePub downloads, according to the available data) and Abstracts Views on Vision4Press platform.

Data correspond to usage on the plateform after 2015. The current usage metrics is available 48-96 hours after online publication and is updated daily on week days.

Initial download of the metrics may take a while.