Free Access

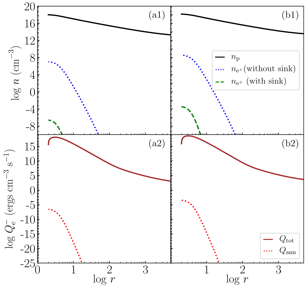
Fig. B.1.

image

a1, b1: comparison of number density of protons np (black, solid), positron number densities ne+ (without annihilation, blue, dotted), and with both production and annihilation rates (green, dashed). a2, b2: comparison of emissivities of the total radiative cooling Qtot and emissivities due to annihilation of pairs Qann. For two sets of accretion disc parameters, (a1, a2) = 1.0, β = 0.2 and (b) = 1.5, β = 0.15. The other parameters are βd = 0.013, E = 1.001, λ = 2.61 and MBH = 10 M.

Current usage metrics show cumulative count of Article Views (full-text article views including HTML views, PDF and ePub downloads, according to the available data) and Abstracts Views on Vision4Press platform.

Data correspond to usage on the plateform after 2015. The current usage metrics is available 48-96 hours after online publication and is updated daily on week days.

Initial download of the metrics may take a while.