Free Access

Fig. 4.

image

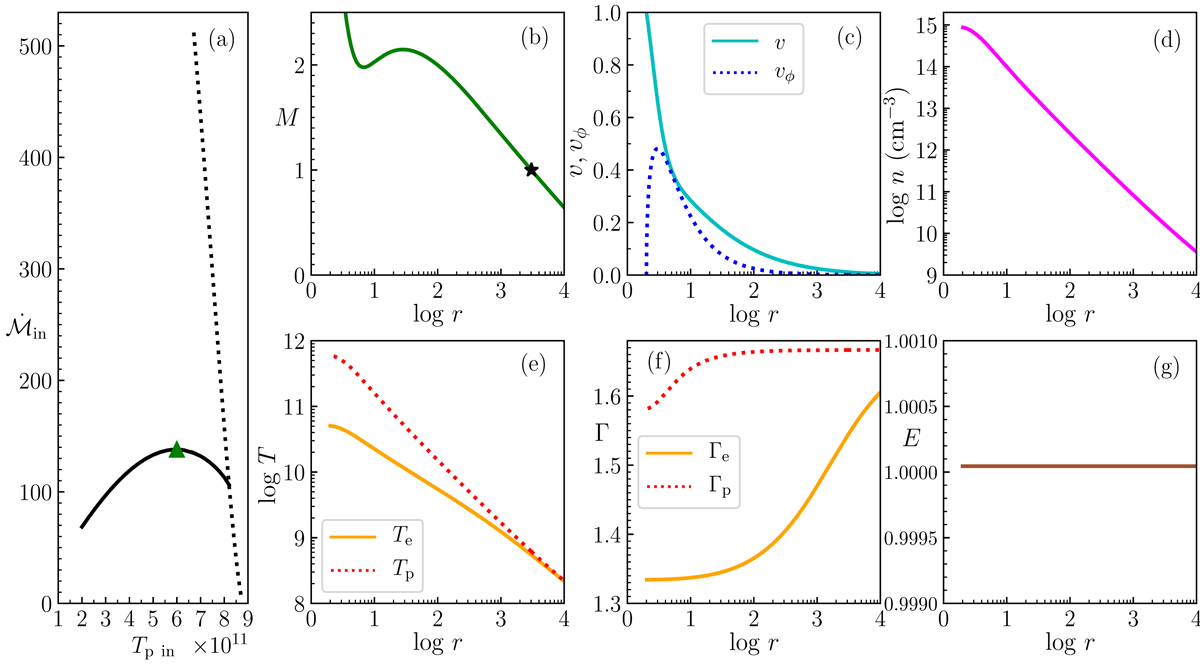
(a) plotted against Tpin. The entropy for inner sonic point solutions (black, dotted) and outer sonic points (black, solid) are presented. Tpin marked with green triangle corresponds to maximum entropy solution. Flow variables plotted are (b) M (green, solid), (c) v (cyan, solid) and vϕ (blue, dotted), (d) log n (magenta, solid), (e) Tp (red, dotted), Te (orange, solid), (f) Γp (red, dotted), Γe (orange, solid), (g) E (brown, solid) as functions of log r. The flow parameters are E = 1.000045, λ = 2.5, = 0.001 Edd and MBH = 10 M. Panel b: the sonic point is marked with a black star.

Current usage metrics show cumulative count of Article Views (full-text article views including HTML views, PDF and ePub downloads, according to the available data) and Abstracts Views on Vision4Press platform.

Data correspond to usage on the plateform after 2015. The current usage metrics is available 48-96 hours after online publication and is updated daily on week days.

Initial download of the metrics may take a while.