Free Access

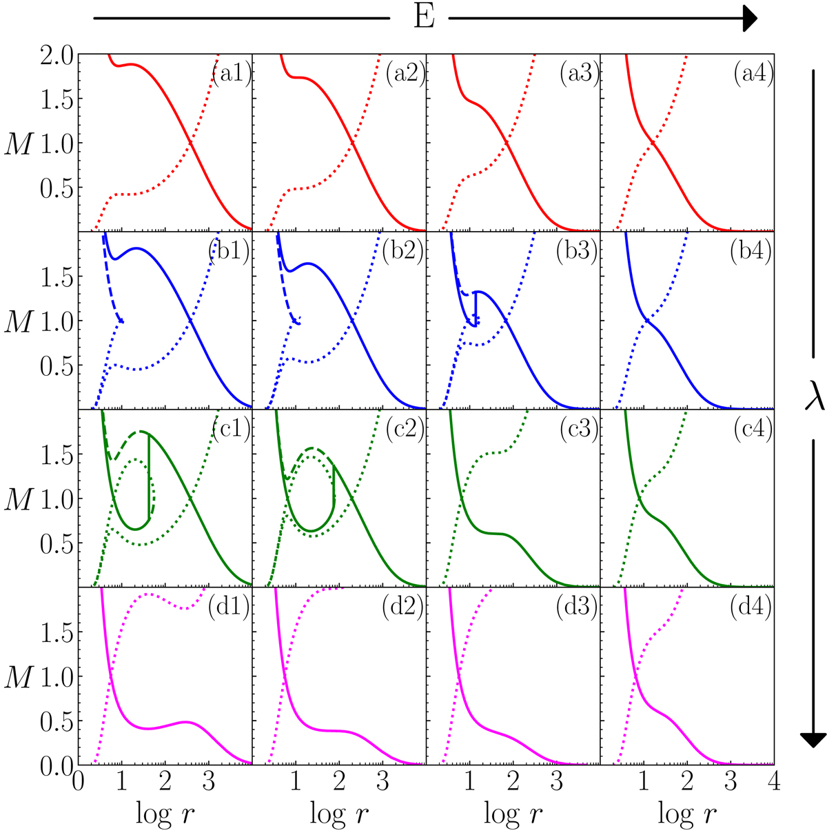
Fig. 7.

image

Variation of solutions, M as a function of log r with variation of E and λ. From left to right: the specific energy increases as E = 1.0005, 1.001, 1.003, and 1.01. From top to bottom: the angular momentum increases as λ = 2.40, 2.55, 2.70, and 2.85. The other parameters are = 0.01 Edd and MBH = 10 M.

Current usage metrics show cumulative count of Article Views (full-text article views including HTML views, PDF and ePub downloads, according to the available data) and Abstracts Views on Vision4Press platform.

Data correspond to usage on the plateform after 2015. The current usage metrics is available 48-96 hours after online publication and is updated daily on week days.

Initial download of the metrics may take a while.