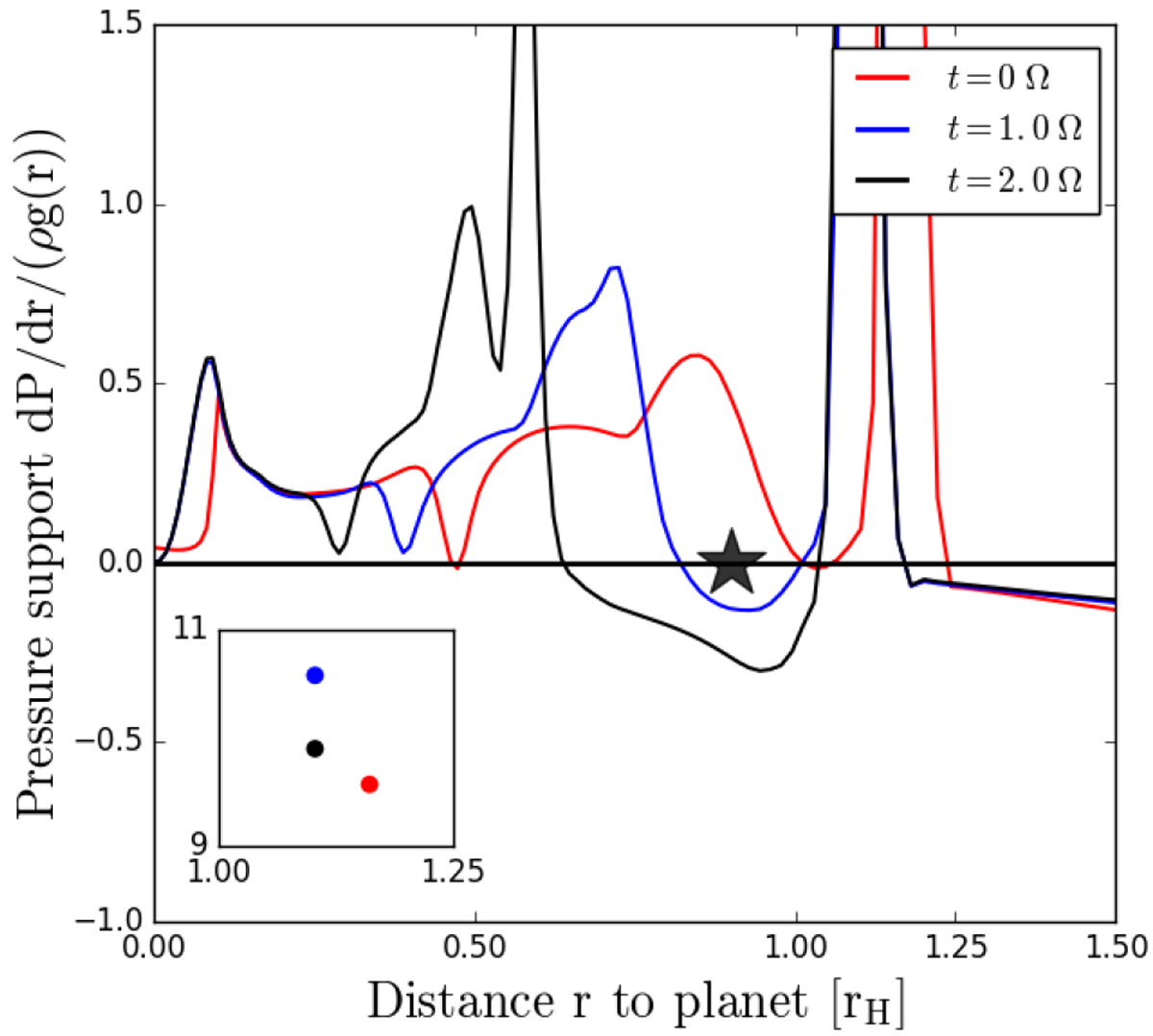
Fig. 5

Cuts through the pressure support vs. radius inside the Hill sphere for the same times as Fig. 6. Of particular interest is the state of the simulation at t = 0 Ω just after the gap formation run. We find the envelope is in a state of latent imbalance due to the low resolution in the gap formation run. From there, the CSD flows push into the envelope until a new equilibrium is found. The inset shows the evolution of the static shock pressure support. The difference in position between the star and the shock positions at t = 0 − 2Ω−1 showcase the slow evolution of the spiral arms between those times. The black star denotes the same position as in Fig. 3.
Current usage metrics show cumulative count of Article Views (full-text article views including HTML views, PDF and ePub downloads, according to the available data) and Abstracts Views on Vision4Press platform.
Data correspond to usage on the plateform after 2015. The current usage metrics is available 48-96 hours after online publication and is updated daily on week days.
Initial download of the metrics may take a while.