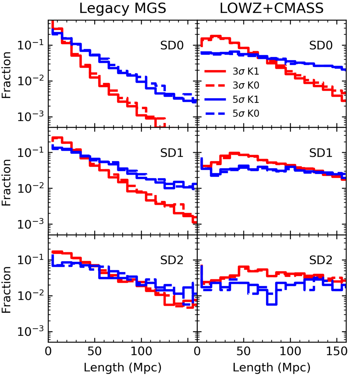
Fig. 12.

Length distribution of the filaments. The left and right columns refer to the Legacy MGS and LOWZ+CMASS sample, respectively. The rows are different smoothing cycles of the density field prior to filament detection. The red lines refer to a 3σ persistence threshold, and blue lines refer to a 5σ persistence threshold. The dashed and solid lines represent filament samples when no smoothing of the skeleton is applied after filament identification (marked “K0” in the legend) and when one cycle of smoothing is applied (marked “K1” in the legend), respectively. Although indicated as 5σ, the high-persistence cut for LOWZ+CMASS in the one-smoothing case has been limited to 4.5σ.
Current usage metrics show cumulative count of Article Views (full-text article views including HTML views, PDF and ePub downloads, according to the available data) and Abstracts Views on Vision4Press platform.
Data correspond to usage on the plateform after 2015. The current usage metrics is available 48-96 hours after online publication and is updated daily on week days.
Initial download of the metrics may take a while.