Free Access

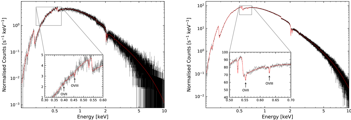
Fig. 1.

image

50 ks simulated X-IFU energy spectra of a GRB afterglow (zGRB = 2) imprinted by O VII (EWO VII = 0.35 eV) and O VIII (EWO VIII = 0.23 eV) WHIM absorbers. Both spectra are binned using the optimal binning scheme of Kaastra & Bleeker (2016). Left: GRB absorbed starting flux 5 × 10−12 erg cm−1 s−1 and zWHIM = 0.4388. Right: GRB absorbed starting flux 1 × 10−10 erg cm−1 s−1 and zWHIM = 0.0382. The insets show the energy range around the WHIM absorption features. Note: The absorption feature located at ≈0.53 eV is the O resonance line of Galactic origin and is contained within the tbabs model component.

Current usage metrics show cumulative count of Article Views (full-text article views including HTML views, PDF and ePub downloads, according to the available data) and Abstracts Views on Vision4Press platform.

Data correspond to usage on the plateform after 2015. The current usage metrics is available 48-96 hours after online publication and is updated daily on week days.

Initial download of the metrics may take a while.