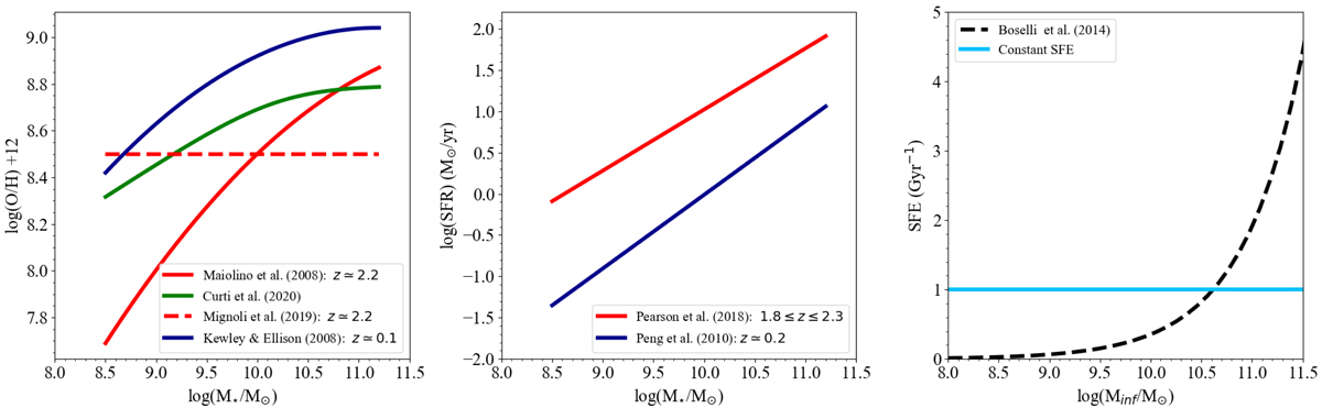
Fig. 1.

Left panel: observed MZRs adopted at different redshifts: the local MZR by Kewley & Ellison (2008) is depicted with the blue line, and the high-redshift MZR by Maiolino et al. (2008) with the red line. The dashed red line is the MZR observed by Mignoli et al. (2019) at z ∼ 2. With the solid green line we also show the local MZR relation for SDSS galaxies found by Curti et al. (2020) with a fully Te-based abundance scale analysis. Middle panel: star-forming main sequence by Peng et al. (2010) in local SDSS galaxies shown with the blue line, and the high-redshift relation is from Pearson et al. (2018). Right panel: with the dashed black line we show the SFE as a function of the infall mass Minf from the scaling relation for the gas-depletion timescale as found by Boselli et al. (2014). The constant SFE fixed at the value of 1 Gyr−1 is indicated with the light blue curve.
Current usage metrics show cumulative count of Article Views (full-text article views including HTML views, PDF and ePub downloads, according to the available data) and Abstracts Views on Vision4Press platform.
Data correspond to usage on the plateform after 2015. The current usage metrics is available 48-96 hours after online publication and is updated daily on week days.
Initial download of the metrics may take a while.