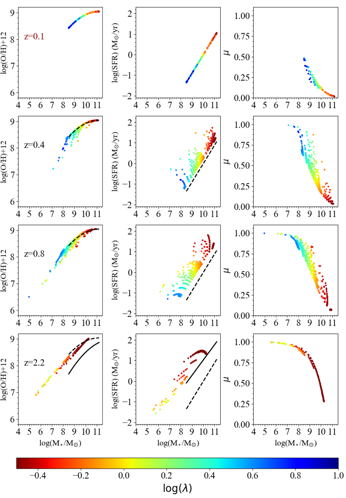
Fig. 2.

Backward evolution from z = 0.1 to z = 2.2 of the galaxies that obey the analytical fit of the observed MZR at z ∼ 0.1 of Kewley & Ellison (2008), as reported by Maiolino et al. (2008) and the local main sequence of star-forming galaxies as derived by Peng et al. (2010). In the first, second, and third column we show the evolution of MZR, SFR vs. stellar mass, and gas fraction vs. stellar mass evolution, respectively. The color-coding indicates the loading factor parameter λ. The solid black lines in the bottom left and middle panels indicate the MZR and MSR observed at redshift z = 2.2, respectively. The dashed black lines in the panels of the first column and in each SFR-log(M⋆/M⊙) plot show the MZR at redshift z ∼ 0.1 of Kewley & Ellison (2008) and the MSR derived in local star-forming galaxies by Peng et al. (2010), respectively.
Current usage metrics show cumulative count of Article Views (full-text article views including HTML views, PDF and ePub downloads, according to the available data) and Abstracts Views on Vision4Press platform.
Data correspond to usage on the plateform after 2015. The current usage metrics is available 48-96 hours after online publication and is updated daily on week days.
Initial download of the metrics may take a while.