Free Access

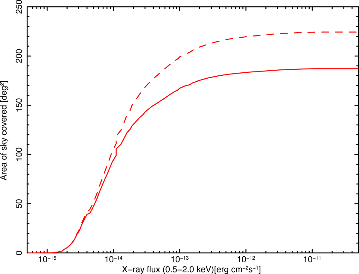
Fig. 4.

image

Sky coverage of the entire OUSXG survey (dashed line) and that of the clean sample, limited to high Galactic latitude (|b| > 10°) XRT fields.

Current usage metrics show cumulative count of Article Views (full-text article views including HTML views, PDF and ePub downloads, according to the available data) and Abstracts Views on Vision4Press platform.

Data correspond to usage on the plateform after 2015. The current usage metrics is available 48-96 hours after online publication and is updated daily on week days.

Initial download of the metrics may take a while.