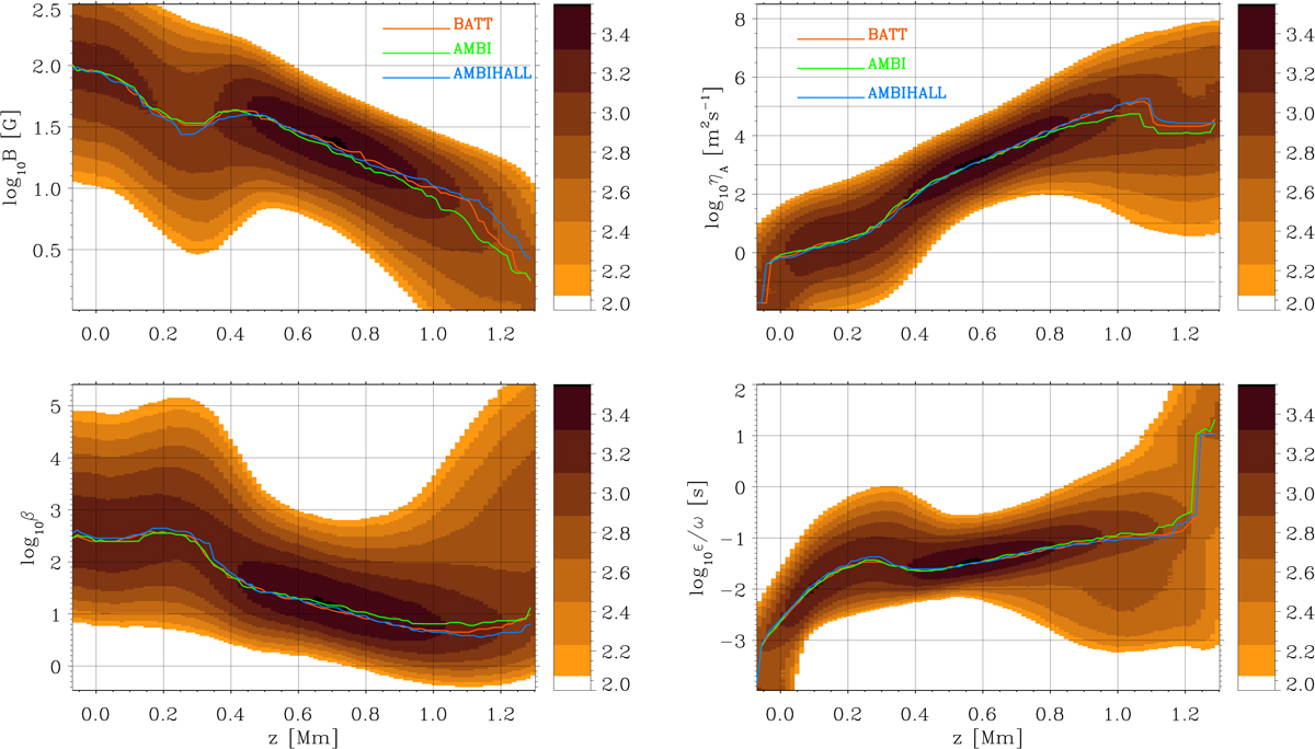
Fig. 2.

Two-dimensional histograms showing the number of occurrences of a given value of a parameter, as a function of height in the BATT run. Darker colors mean larger probability of occurrence in logarithmic scale, indicated by the color bar. Red, green and blue lines follow the median value of the distribution at each height for the BATT, AMBI, and AMBIHALL runs, correspondingly. Top left: modulus of the magnetic field strength; top right: AD coefficient; bottom left: plasma-β; bottom right: hall parameter ϵ/ω.
Current usage metrics show cumulative count of Article Views (full-text article views including HTML views, PDF and ePub downloads, according to the available data) and Abstracts Views on Vision4Press platform.
Data correspond to usage on the plateform after 2015. The current usage metrics is available 48-96 hours after online publication and is updated daily on week days.
Initial download of the metrics may take a while.