Free Access
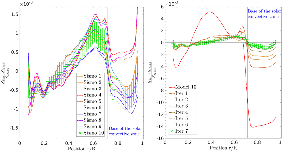
Fig. 5.

Left panel: agreement in relative entropy proxy differences for the reconstructed models using the reference models of Table 1 as initial conditions. Right panel: illustration of the convergence of the entropy proxy relative differences for successive iterations of the reconstruction procedure in the case of Model 10.
Current usage metrics show cumulative count of Article Views (full-text article views including HTML views, PDF and ePub downloads, according to the available data) and Abstracts Views on Vision4Press platform.
Data correspond to usage on the plateform after 2015. The current usage metrics is available 48-96 hours after online publication and is updated daily on week days.
Initial download of the metrics may take a while.