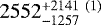
Table C.1
Overview of the sample.
| Name | RA (J2000) | Dec (J2000) | d | Separation | Multi-epoch | Variability | Classification | ||
|---|---|---|---|---|---|---|---|---|---|
| (h ms s) | (° ′ ′′) | (pc) | (′′) | data | |||||
| RY Tau | 04 21 57.4 | +28 26 35.5 | – | A | M | ||||
| T Tau S | 04 21 59.4 | +19 32 05.9 | 144 ± 2 (1) | 0.12 (3) | – | – | M | ||
| T Tau N | 04 21 59.4 | +19 32 06.4 | 144 ± 2(1) | 0.7 (4) | – | – | M | ||
| DG Tau | 04 27 04.7 | +26 06 16.0 | 121 ± 2 (1) | – | – | M | |||
| Haro 6-10N | 04 29 23.7 | +24 33 00.9 | 1.2 (5) | – | – | M | |||
| Haro 6-10S | 04 29 23.7 | +24 32 59.7 | 1.2 (5) | – | – | M | |||
| GG Tau | 04 32 30.3 | +17 31 40.8 | 0.032 (6) | – | – | M | |||
| DR Tau | 04 47 06.2 | +16 58 42.8 | 195 ± 2 (1) | – | – | M | |||
| AB Aur | 04 55 45.8 | +30 33 04.3 | – | A | M | ||||
| HD 31648 | 04 58 46.3 | +29 50 36.0 | 161 ± 2 (1) | – | – | M | |||
| UX Ori | 05 04 29.0 | –03 47 14.3 | 322 ± 5 (1) | P | – | M | |||
| CO Ori | 05 27 38.3 | +11 25 38.9 | 399 ± 7 (1) | 2 (7) | P | – | M | ||
| GW Ori | 05 29 08.4 | +11 52 12.7 | 0.003 (8) | P | – | M | |||
| HD 36112 | 05 30 27.5 | +25 19 57.1 | 160 ± 2 (1) | – | – | M | |||
| CQ Tau | 05 35 58.5 | +24 44 54.1 | 162 ± 2 (1) | P | – | – | |||
| V1247 Ori | 05 38 05.3 | –01 15 21.7 | 394 ± 10 (1) | P | – | – | |||
| HD 37806 | 05 41 02.3 | –02 43 00.7 | P | – | – | ||||
| FU Ori | 05 45 22.4 | +09 04 12.3 | 0.4 (9) | P | – | M | |||
| V1647 Ori | 05 46 13.1 | –00 06 04.9 | – | – | M | ||||
| HD 45677 | 06 28 17.4 | –13 03 11.1 | – | A | – | ||||
| HD 259431 | 06 33 05.2 | +10 19 19.0 | – | A | – | ||||
| HD 50138 | 06 51 33.4 | –06 57 59.4 | 377 ± 9 (1) | P | A | – | A1(P), A3(A) | a | |
| Z CMa | 07 03 43.2 | –11 33 06.2 | 0.1 (10) | – | – | M | |||
| HD 72106 | 08 29 34.9 | –38 36 21.1 | 0.8 (11) | – | – | M | |||
| HD 85567 | 09 50 28.5 | –60 58 02.9 | – | A | – | ||||
| Hen 3-545 | 10 59 06.0 | –77 01 40.3 | 186 ± 1 (1) | – | – | M | |||
| TW Hya | 11 01 51.9 | –34 42 17.0 | 60 ± 0 (1) | P | – | M | |||
| DI Cha | 11 07 20.7 | –77 38 07.3 | 190 ± 1 (1) | 0.2 (12) | P | – | M | ||
| HP Cha | 11 08 15.1 | –77 33 53.2 | 200 ± 8 (1) | – | – | M | |||
| Ass Cha T 1-23 | 11 09 53.4 | –76 34 25.7 | 201 ± 6 (1) | – | – | M | |||
| WW Cha | 11 10 00.1 | –76 34 57.0 | 191 ± 1 (1) | P | – | M | |||
| CV Cha | 11 12 27.7 | –76 44 22.3 | 192 ± 1 (1) | P | – | M | |||
| HD 100453 | 11 33 05.6 | –54 19 28.5 | 104 ± 0 (1) | – | A | – | |||
| DX Cha | 12 00 05.1 | –78 11 34.6 | 108 ± 1 (1) | 0.002 (13) | P | A | M | A1(P,A), A3(P) | s, a |
| CPD-36 6759 | 15 15 48.4 | –37 09 16.0 | 135 ± 1 (1) | P | A | M | |||
| HD 139614 | 15 40 46.4 | –42 29 53.5 | 134 ± 1 (1) | P | – | M | |||
| HD 141569 | 15 49 57.7 | –03 55 16.3 | 110 ± 1 (1) | P | – | M | |||
| HD 142666 | 15 56 40.0 | –22 01 40.0 | 148 ± 1 (1) | – | A | – | |||
| HD 142527 | 15 56 41.9 | –42 19 23.2 | 157 ± 1 (1) | 0.08 (14) | P | A | M | A1(P,A) | – |
| RU Lup | 15 56 42.3 | –37 49 15.5 | 159 ± 2 (1) | P | – | M | |||
| HD 143006 | 15 58 36.9 | –22 57 15.2 | 165 ± 4 (1) | P | – | – | |||
| HD 325367 | 16 03 05.5 | –40 18 25.4 | 157 ± 1 (1) | – | – | M | |||
| HD 144432 | 16 06 57.0 | –27 43 09.8 | 155 ± 1 (1) | 1.47 (15) | P | – | M | ||
| V856 Sco | 16 08 34.3 | –39 06 18.3 | 160 ± 2 (1) | P | A | M | A1(P,A), A3(P,A) | s, a | |
| AS 205 N | 16 11 31.4 | –18 38 26.3 | 127 ± 2 (1) | 1.3 (16) | P | – | – | ||
| SR 4 | 16 25 56.2 | –24 20 48.2 | 134 ± 1 (1) | – | – | M | |||
| Haro 1-6 | 16 26 03.0 | –24 23 36.2 | 134 ± 1 (1) | – | – | M | |||
| GSS 31 | 16 26 23.4 | –24 20 59.6 | 137 ± 2 (1) | – | – | M | |||
| Elia 2-24 | 16 26 24.1 | –24 16 13.5 | 136 ± 2 (1) | – | – | M | |||
| SR 24A | 16 26 58.5 | –24 45 36.7 | 5.2 (7) | P | – | – | |||
| SR 21A | 16 27 10.3 | –24 19 12.6 | 138 ± 1 (1) | 6.7 (17) | P | – | M | ||
| SR 9 | 16 27 40.3 | –24 22 04.1 | 130 ± 1 (1) | P | – | – | |||
| Haro 1-16 | 16 31 33.5 | –24 27 37.3 | 145 ± 1 (1) | P | – | M | |||
| V346 Nor | 16 32 32.2 | –44 55 30.7 | 620 (2) | – | – | M | |||
| HD 150193 | 16 40 17.9 | –23 53 45.2 | 150 ± 2 (1) | 1.1 (18) | P | A | M | ||
| AS 209 | 16 49 15.3 | –14 22 08.6 | 121 ± 1 (1) | – | – | M | |||
| AK Sco | 16 54 44.8 | –36 53 18.6 | 140 ± 1 (1) | 0.001 (19) | P | – | – | A3(P) | a |
| HD 163296 | 17 56 21.3 | –21 57 21.9 | 101 ± 1 (1) | P | A | M | A1(A), A3(P,A) | s | |
| HD 169142 | 18 24 29.8 | –29 46 49.3 | 114 ± 1 (1) | P | – | M | |||
| MWC 297 | 18 27 39.5 | –03 49 52.1 | 372 ± 12 (1) | – | A | – | |||
| VV Ser | 18 28 47.9 | +00 08 39.9 | 415 ± 8 (1) | P | – | – | |||
| SVS20N | 18 29 57.7 | +01 14 05.7 | 1.58 (20) | – | – | M | |||
| SVS20S | 18 29 57.7 | +01 14 05.7 | 0.32 (20) | – | – | M | |||
| S CrA N | 19 01 08.6 | –36 57 19.9 | 152 ± 2 (1) | 1.3 (7) | P | – | M | ||
| R CrA | 19 01 53.7 | –36 57 08.1 | 0.012 (21) | – | A | – | A1(A), A3(A) | – | |
| VV CrA NE | 19 03 06.7 | –37 12 49.7 | 149 ± 2 (1) | 1.9 (7) | – | – | M | ||
| VV CrA SW | 19 03 06.7 | –37 12 49.7 | 149 ± 2 (1) | 1.9 (7) | – | – | M | ||
| HD 179218 | 19 11 11.3 | +15 47 15.6 | 264 ± 3 (1) | P | – | M | |||
Notes. The separations of known binaries are listed in the fifth column, whereas for multiple systems we only give the distance to the companion nearest to the observed object. Separations smaller than the field of view of the VLTI (~0.16′′, Hummel et al. 2016)are indicated in bold face. The flag in the sixth column indicates the availability of multi-epoch observations obtained with PIONIER (P), AMBER (A), and MIDI (M). The seventh column indicates whether evidence for temporal variability is found based on the two approaches described in Sect. 4.1 (A1, direct comparison of interferometric observations obtained using equal baselines) and Sect. 4.3 (A3, comparison of interferometric observations obtained with different baselines). In the last column, the variable objects are classified according to the symmetry of the found variations (s: supposedly symmetric, a: asymmetric, –: unclassified; compare Sect. 5.3).
References. (1) Bailer-Jones et al. (2018), (2) Evans et al. (1994), (3) Ratzka et al. (2009), (4) Dyck et al. (1982), (5) Leinert & Haas (1989), (6) Di Folco et al. (2014), (7) Reipurth & Zinnecker (1993), (8) Mathieu et al. (1991), (9) Wang et al. (2004), (10) Koresko et al. (1991), (11) Dommanget & Nys (2000), (12) Schmidt et al. (2013), (13) Garcia et al. (2013), (14) Close et al. (2014); Biller et al. (2012), (15)Müller et al. (2011), (16)Ghez et al. (1993), (17)Barsony et al. (2003), (18)Monnier et al. (2017), (19)Jensen et al. (1996), (20)Duchêne et al. (2007), (21)Sissa et al. (2019).
Current usage metrics show cumulative count of Article Views (full-text article views including HTML views, PDF and ePub downloads, according to the available data) and Abstracts Views on Vision4Press platform.
Data correspond to usage on the plateform after 2015. The current usage metrics is available 48-96 hours after online publication and is updated daily on week days.
Initial download of the metrics may take a while.