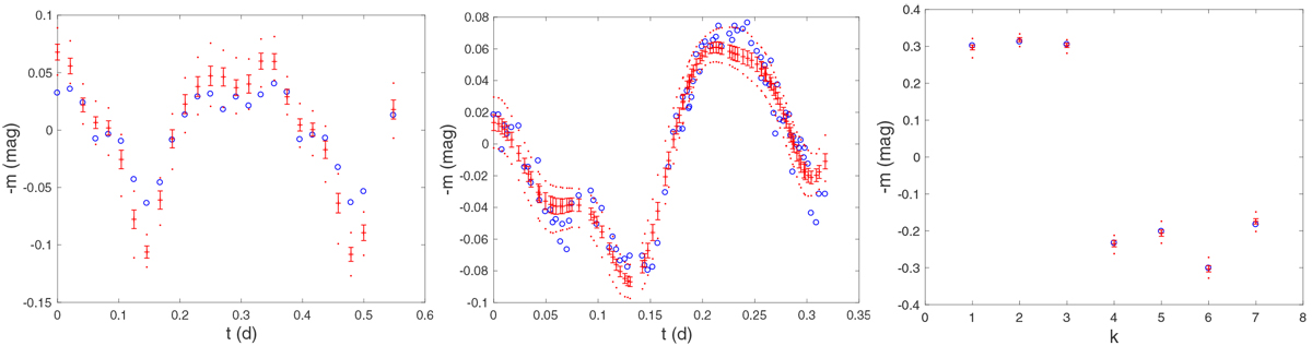
Fig. 2

Example photometric lightcurves for asteroid (21) Lutetia. We show the ground-based photometric lightcurves#41 and #3 and the Gaia lightcurve (blue circles; left, middle, and right, respectively; see Table A.1) together with the best-fit convex model lightcurves (red crosses) with 1-σ standard deviations (red bars) and uncertainty envelopes using all 30 000 MCMC sample solutions (red points). m, t, and k stand for relative magnitude, time from the first lightcurve observation, and lightcurve observation counter, respectively.
Current usage metrics show cumulative count of Article Views (full-text article views including HTML views, PDF and ePub downloads, according to the available data) and Abstracts Views on Vision4Press platform.
Data correspond to usage on the plateform after 2015. The current usage metrics is available 48-96 hours after online publication and is updated daily on week days.
Initial download of the metrics may take a while.