Open Access
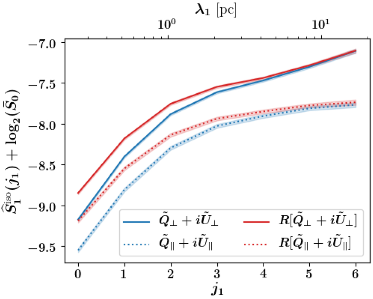
Fig. 8

RWST coefficients for
,
and
data sets. We use solid lines for ⊥ data sets and dotted lines for ∥ data sets. For reference, we show at the top of this figure the correspondence between
j
scale indices and the related wavelengths on the maps (in practice, we have
λ1 = 2j1 +1π∕k0).
Current usage metrics show cumulative count of Article Views (full-text article views including HTML views, PDF and ePub downloads, according to the available data) and Abstracts Views on Vision4Press platform.
Data correspond to usage on the plateform after 2015. The current usage metrics is available 48-96 hours after online publication and is updated daily on week days.
Initial download of the metrics may take a while.