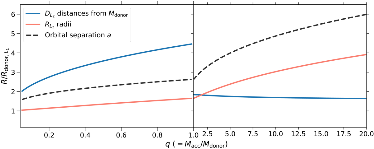
Fig. 3.

Our results form the volume integration of L2 equipotential surfaces with respect to different mass ratios q. All distance values are presented in units of RL1. Here, RL2 is the radius of a sphere with volume equal to that of the L2 equipotential surface (solid orange line). DL2 is the distance of the L2 point from Mdonor (solid blue line). The dashed black line shows the orbital separation in units of RL1. Systems where the donor’s radius exceeds any of these limiting radii are considered as undergoing dynamical instability.
Current usage metrics show cumulative count of Article Views (full-text article views including HTML views, PDF and ePub downloads, according to the available data) and Abstracts Views on Vision4Press platform.
Data correspond to usage on the plateform after 2015. The current usage metrics is available 48-96 hours after online publication and is updated daily on week days.
Initial download of the metrics may take a while.