Open Access

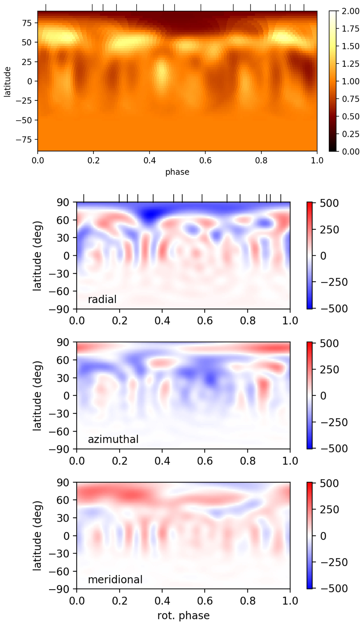
Fig. 13.

image

Upper panel: surface brightness map of HQ Tau. The color scale goes from dark brown to light yellow, for dark to bright features. Lower panels, from top to bottom: radial, azimuthal, and meridional surface magnetic field distribution. Ticks on top of the panels indicate the phase of observations.

Current usage metrics show cumulative count of Article Views (full-text article views including HTML views, PDF and ePub downloads, according to the available data) and Abstracts Views on Vision4Press platform.

Data correspond to usage on the plateform after 2015. The current usage metrics is available 48-96 hours after online publication and is updated daily on week days.

Initial download of the metrics may take a while.