Open Access

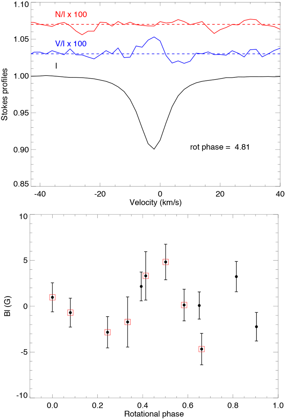
Fig. 9

image

Top: LSD Stokes profiles for one of the polarimetric sequences showing a definite detection in the V profile. The Stokes V and N profiles are multiplied by 100 and shifted for clarity. Bottom: variations in the longitudinal magnetic field as a function of the rotational phase. Red squares indicate the first rotation cycle.

Current usage metrics show cumulative count of Article Views (full-text article views including HTML views, PDF and ePub downloads, according to the available data) and Abstracts Views on Vision4Press platform.

Data correspond to usage on the plateform after 2015. The current usage metrics is available 48-96 hours after online publication and is updated daily on week days.

Initial download of the metrics may take a while.