Free Access

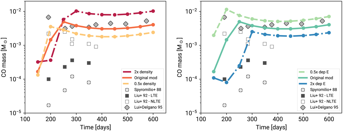
Fig. 5.

image

Results of varying the physical parameters of the SN1987A model. Scatter points are observational estimates. Left: lines show CO mass of models with original density, twice and half the original density. Right: lines show CO mass of models with original deposition energy, twice and half the original deposition energy.

Current usage metrics show cumulative count of Article Views (full-text article views including HTML views, PDF and ePub downloads, according to the available data) and Abstracts Views on Vision4Press platform.

Data correspond to usage on the plateform after 2015. The current usage metrics is available 48-96 hours after online publication and is updated daily on week days.

Initial download of the metrics may take a while.