Free Access

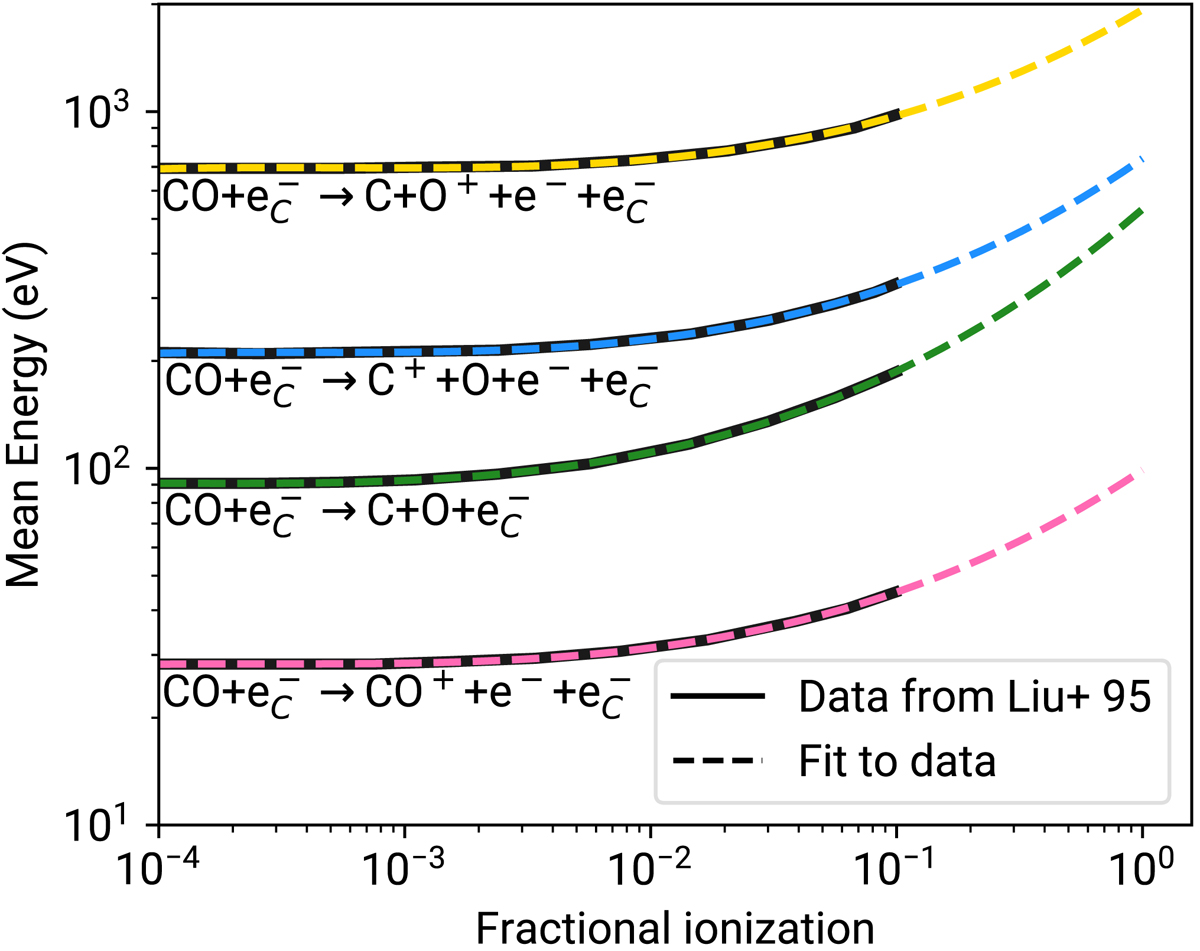
Fig. A.1.

image

Original data and fits to the results on mean energy per ion pair for CO ionization presented in Liu & Dalgarno (1995). The original data is shown as solid lines and the fit to each relation is shown as dashed lines.

Current usage metrics show cumulative count of Article Views (full-text article views including HTML views, PDF and ePub downloads, according to the available data) and Abstracts Views on Vision4Press platform.

Data correspond to usage on the plateform after 2015. The current usage metrics is available 48-96 hours after online publication and is updated daily on week days.

Initial download of the metrics may take a while.