Open Access
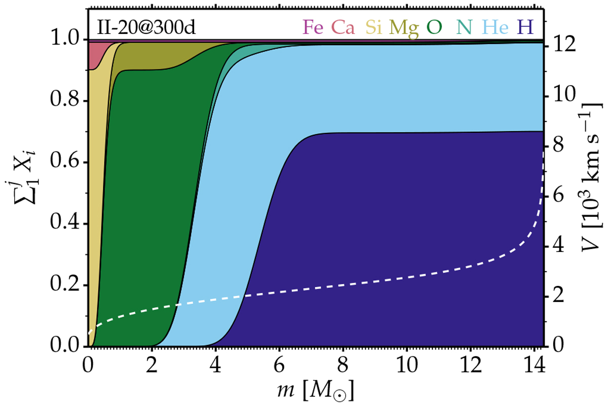
Fig. 1

Cumulative composition and velocity profiles versus Lagrangian mass in the ejecta of the SN II model based on the 20 M⊙ ZAMS star. The sum for each plotted element i includes the mass fractions for all plotted elements that have a lower atomic mass.
Current usage metrics show cumulative count of Article Views (full-text article views including HTML views, PDF and ePub downloads, according to the available data) and Abstracts Views on Vision4Press platform.
Data correspond to usage on the plateform after 2015. The current usage metrics is available 48-96 hours after online publication and is updated daily on week days.
Initial download of the metrics may take a while.