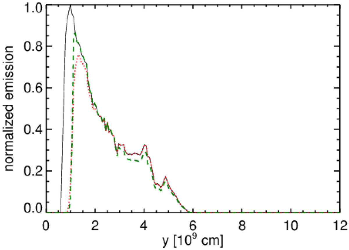
Fig. 13.

Simulated X-ray emission emanating from accretion column modeled in run D5e10-B30-A45, as a function of the height above the star surface (z), for three cases: without any local absorption effect (black continuous line), and with the local absorption integrating the emission from the right (green dashed line) and from the left (red dotted line) side of the accretion stream.
Current usage metrics show cumulative count of Article Views (full-text article views including HTML views, PDF and ePub downloads, according to the available data) and Abstracts Views on Vision4Press platform.
Data correspond to usage on the plateform after 2015. The current usage metrics is available 48-96 hours after online publication and is updated daily on week days.
Initial download of the metrics may take a while.