Free Access

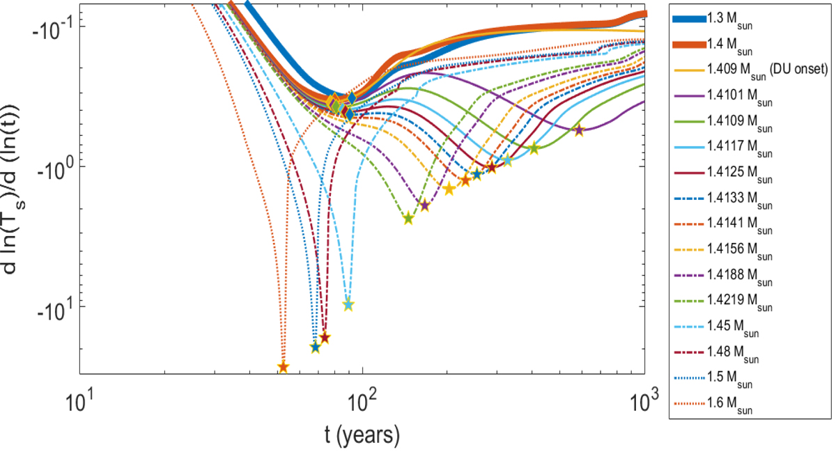
Fig. 6.

image

dln(Ts)/d(ln(t)) as a function of time for the thermal evolution of stars described by the BSR8 model. The global minimum of each curve represents the thermal relaxation time. Rhombus and star symbols indicate local minima in each curve.

Current usage metrics show cumulative count of Article Views (full-text article views including HTML views, PDF and ePub downloads, according to the available data) and Abstracts Views on Vision4Press platform.

Data correspond to usage on the plateform after 2015. The current usage metrics is available 48-96 hours after online publication and is updated daily on week days.

Initial download of the metrics may take a while.