Open Access

Fig. B.1

image

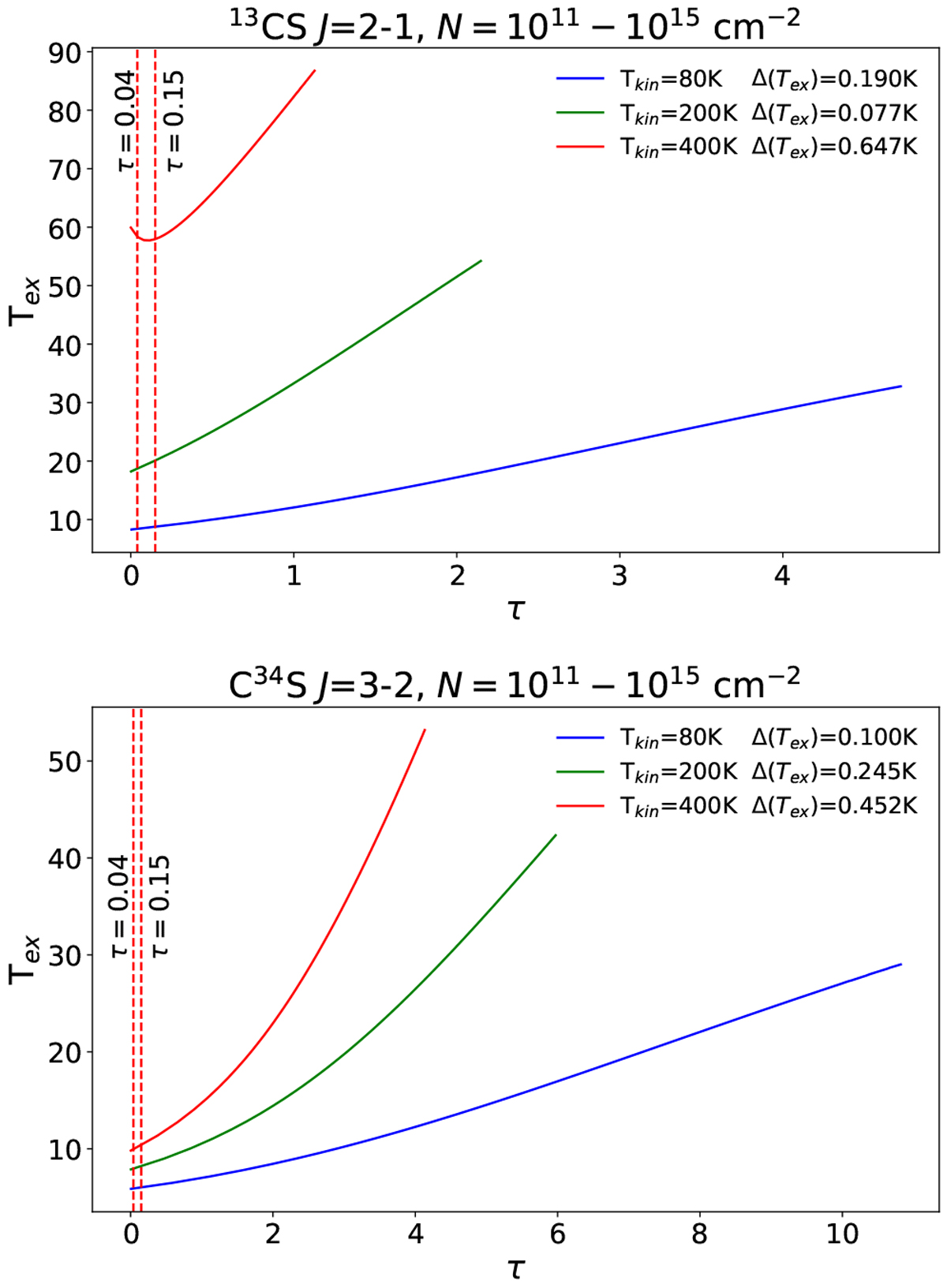
Excitation temperatures (Tex) as a functionof opacity (τ) for 13CS J = 2–1 (top) and C34S J = 3–2 (bottom). Molecular column densities range between 1011 and 1015 cm−2, and the kinetic temperature is 80, 200, and 400 K, represented by blue, green, and red lines, respectively. Δ(Tex) refers to the Tex maximum variation between τ = 0.04 and 0.15 (delineated by dashed vertical red lines).

Current usage metrics show cumulative count of Article Views (full-text article views including HTML views, PDF and ePub downloads, according to the available data) and Abstracts Views on Vision4Press platform.

Data correspond to usage on the plateform after 2015. The current usage metrics is available 48-96 hours after online publication and is updated daily on week days.

Initial download of the metrics may take a while.