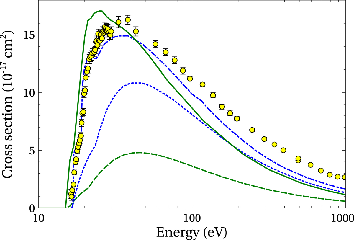
Fig. 2.

Single-ionization cross sections for the ground level of the Si+ ion. The DI cross sections were obtained in the potential of the ionized ion. The solid (green) line represents the total LLDW cross sections, the dashed (green) line represents the LLDW DI cross sections, the dashed-dotted (blue) line represents the total CADW cross sections (Djurić et al. 1993), and the dotted (blue) line represents the DI CADW cross sections (Djurić et al. 1993). Experiment is shown by open circles with error bars (Djurić et al. 1993).
Current usage metrics show cumulative count of Article Views (full-text article views including HTML views, PDF and ePub downloads, according to the available data) and Abstracts Views on Vision4Press platform.
Data correspond to usage on the plateform after 2015. The current usage metrics is available 48-96 hours after online publication and is updated daily on week days.
Initial download of the metrics may take a while.